Correlation between Coarse Airborne Particulate Matter and Mortality Rates of Malignant Neoplasm
- Kyung-Ho Park, Ji-Hyun Kim, Hong-Sun Yoon, In-Hwa Kim, In-Mok Choi, Je-Young Lee, Mi-Kyeong Ju
- Received September 13, 2016 Accepted October 17, 2016
- ABSTRACT
-
- Background
- There have been growing interests in harmful effects of dust particles on human health. It has been reported that dust particles negatively affected respiratory and cardiovascular systems. Relationship of dust particles and lung cancer incidence was also investigated. However, there is a lack of studies regarding the relationship between dust particles and cancers except for lung cancer. Therefore, this study aimed to determine the relationship of dust particle concentration and cancer mortality in Korea.
- Methods
- Average concentration of coarse dust particles (particulate matter 10, PM10) of 2008–2014 were obtained from AirKorea website and cancer mortality was found in Statistics Korea for 2008–2014. Correlation analyses using PM10 and cancer mortality were performed. Age-adjusted death rate (AADR) was used for correlation analysis because a number of death and mortality rate do not reflect population and age of death. Regional annual PM10 was matched with AADR of identical area. Correlation between two variables was presented in scatter plots and Pearson's correlation analysis was performed.
- Results
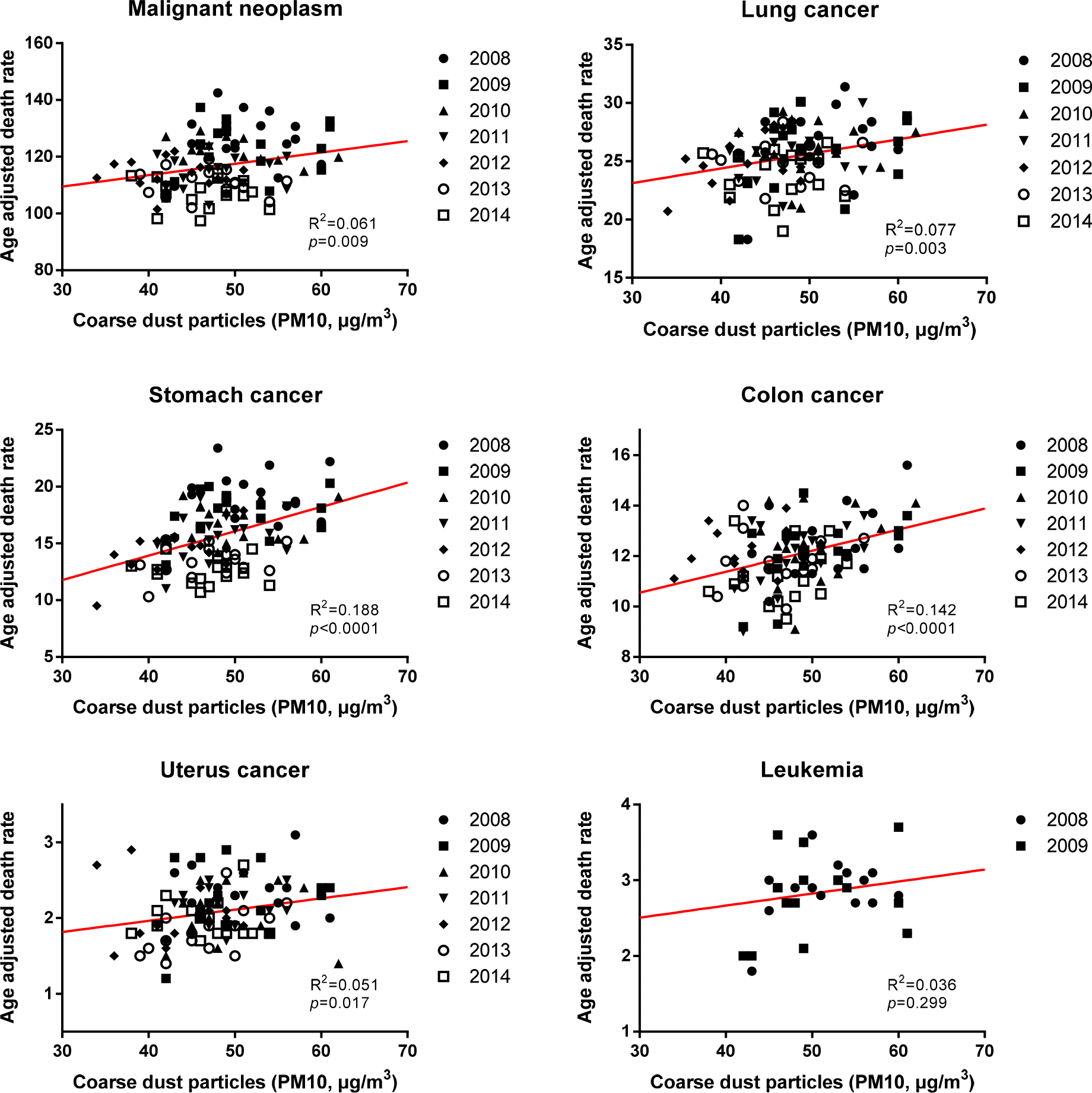
- PM10 concentration was positively correlated with AADR of malignant neoplasm, lung cancer, stomach cancer, colon cancer, uterus cancer, and leukemia. PM10 concentration was significantly correlated with AADR of malignant neoplasm (r=0.247, P=0.009), lung cancer (r=0.277, P=0.003), stomach cancer (r=0.434, P=0.000), colon cancer (r=0.377, P=0.000), and uterus cancer (r=0.226, P=0.017).
- Conclusion
- This study suggested that cancer patients or high-risk group for cancer should pay attention to PM10 concentration. Large-scale studies should investigate the relationship of PM10 concentration and cancer incidence including cancer mortality to extend understanding of this cross-section study.
Figure 1.
Changes in annual average of coarse particles (particulate matter 10: particles whose aerodynamic diameters are less than or equal to 10 µm).
Figure 2.
Pearson's correlation analysis of PM10 (particulate matter 10: particles whose aerodynamic diameters are less than or equal to 10 µm) concentrationand age adjusted death rates of malignant neoplasms, lung cancer, stomach cancer, colon cancer, uterus cancer, and leukemia.
Table 1.
Number of death, death rate, age adjusted death rate of cancera
| Year | Number of regions | Number of death | Death rateb | Age adjusted death ratec | |
|---|---|---|---|---|---|
| Malignant | 2008 | 16 | 4307.0±3343.9 | 150.8±35.0 | 126.7±8.8 |
| neoplasms | 2009 | 16 | 4361.2±3424.8 | 151.8±35.0 | 122.7±9.2 |
| 2010 | 16 | 4503.0±3572.5 | 156.7±36.5 | 121.1±6.1 | |
| 2011 | 16 | 4473.7±3572.6 | 154.6±34.6 | 115.3±6.0 | |
| 2012 | 16 | 4596.5±3707.0 | 158.5±34.8 | 113.6±5.1 | |
| 2013 | 16 | 4694.4±3837.7 | 160.7±32.3 | 110.6±4.8 | |
| 2014 | 16 | 4773.6±3893.9 | 162.7±35.3 | 107.2±5.3 | |
| Total | 112 | 4529.9±3530.8 | 156.5±34.1 | 116.7±9.2 | |
| Lung cancer | 2008 | 16 | 924.4±691.3 | 32.8±9.9 | 26.8±3.1 |
| 2009 | 16 | 932.4±684.1 | 33.1±10.4 | 25.9±3.3 | |
| 2010 | 16 | 976.6±726.7 | 34.6±9.7 | 26.1±2.4 | |
| 2011 | 16 | 991.7±761.1 | 35.0±9.8 | 25.1±2.0 | |
| 2012 | 16 | 1037.5±797.8 | 36.3±10.0 | 25.1±2.2 | |
| 2013 | 16 | 1070.3±816.4 | 37.7±9.3 | 24.9±1.7 | |
| 2014 | 16 | 1086.6±836.9 | 37.6±10.2 | 23.9±2.2 | |
| Total | 112 | 1002.8±742.8 | 35.3±9.8 | 25.4±2.6 | |
| Stomach cancer | 2008 | 16 | 644.5±484.1 | 22.8±5.7 | 19.2±2.2 |
| 2009 | 16 | 633.4±485.6 | 22.1±5.7 | 17.7±1.9 | |
| 2010 | 16 | 626.9±489.0 | 22.0±5.6 | 16.9±1.7 | |
| 2011 | 16 | 607.4±469.1 | 21.1±5.3 | 15.7±2.0 | |
| 2012 | 16 | 581.7±463.9 | 20.0±5.2 | 14.2±1.8 | |
| 2013 | 16 | 571.9±460.3 | 19.6±4.4 | 13.5±1.3 | |
| 2014 | 16 | 554.8±431.7 | 19.2±4.6 | 12.6±1.1 | |
| Total | 112 | 602.9±457.7 | 21.0±5.3 | 15.7±2.8 | |
| Colon cancer | 2008 | 16 | 428.4±353.0 | 14.9±2.8 | 12.6±1.4 |
| 2009 | 16 | 444.1±381.0 | 15.0±3.1 | 12.2±1.4 | |
| 2010 | 16 | 481.3±418.0 | 16.1±3.5 | 12.3±1.5 | |
| 2011 | 16 | 482.6±407.5 | 16.4±3.3 | 12.1±1.3 | |
| 2012 | 16 | 511.1±432.8 | 17.4±3.7 | 12.1±0.8 | |
| 2013 | 16 | 515.3±442.5 | 17.5±3.5 | 11.8±1.0 | |
| 2014 | 16 | 523.3±441.7 | 17.7±3.7 | 11.3±1.2 | |
| Total | 112 | 483.7±402.2 | 16.4±3.5 | 12.1±1.3 | |
| Uterus cancer | 2008 | 16 | 78.8±68.5 | 2.7±0.5 | 2.3±0.3 |
| 2009 | 16 | 78.6±66.3 | 2.6±0.6 | 2.2±0.5 | |
| 2010 | 16 | 79.5±74.3 | 2.6±0.5 | 2.1±0.4 | |
| 2011 | 16 | 80.9±68.3 | 2.7±0.6 | 2.1±0.3 | |
| 2012 | 16 | 75.9±69.3 | 2.6±0.4 | 2.0±0.4 | |
| 2013 | 16 | 76.8±71.5 | 2.5±0.6 | 1.8±0.3 | |
| 2014 | 16 | 80.9±74.0 | 2.7±0.5 | 2.0±0.3 | |
| Total | 112 | 78.8±68.5 | 2.6±0.5 | 2.1±0.4 | |
| Leukemia | 2008 | 16 | 94.2±82.0 | 3.2±0.7 | 2.9±0.4 |
| 2009 | 16 | 96.4±87.5 | 3.2±0.7 | 2.8±0.5 | |
| Total | 32 | 95.3±83.4 | 3.2±0.7 | 2.8±0.5 |
Table 2.
Kendall's tau-b correlation coefficient of PM10 (particulate matter 10: particles whose aerodynamic diameters are less han or equal to 10 µm)concentrationand age adjusted death rates of cancer in regions of South Korea from 2008 to 2014
| Malignant | Lung | Stomach | Colon | Liver | Uterus | Meninges and brain | Esophagus | Breast | Prostate | Pancreas | ||||||||||||
|---|---|---|---|---|---|---|---|---|---|---|---|---|---|---|---|---|---|---|---|---|---|---|
| neoplasm | cancer | cancer | cancer | cancer | cancer | cancer | cancer | cancer | cancer | cancer | ||||||||||||
| CCa | P | CCa | P | CCa | P | CCa | P | CCa | P | CCa | P | CCa | P | CCa | P | CCa | P | CCa | P | CCa | P | |
| Seoul | 0.810b | 0.011 | –0.048 | 0.881 | 0.714b | 0.024 | 0.429 | 0.176 | 0.905b | 0.004 | 0.350 | 0.282 | 0.169 | 0.622 | 0.126 | 0.724 | –0.050 | 0.878 | 0.050 | 0.878 | –0.429 | 0.176 |
| Busan | 0.514 | 0.117 | 0.206 | 0.530 | 0.514 | 0.117 | –0.053 | 0.874 | 0.514 | 0.117 | 0.649 | 0.055 | 0.264 | 0.428 | –0.433 | 0.200 | 0.252 | 0.480 | 0.114 | 0.741 | –0.206 | 0.530 |
| Daegu | 0.781b | 0.015 | 0.586 | 0.068 | 0.781b | 0.015 | 0.488 | 0.129 | 0.450 | 0.167 | 0.250 | 0.442 | –0.616 | 0.062 | –0.369 | 0.267 | –0.098 | 0.761 | –0.410 | 0.214 | –0.250 | 0.442 |
| Daejeon | 0.586 | 0.068 | 0.685b | 0.041 | 0.488 | 0.129 | 0.650b | 0.046 | 0.195 | 0.543 | 0.350 | 0.282 | –0.103 | 0.756 | 0.050 | 0.878 | 0.150 | 0.645 | 0.100 | 0.759 | –0.195 | 0.543 |
| Gwangju | 0.810b | 0.011 | 0.000 | 1.000 | 0.781b | 0.015 | –0.206 | 0.530 | 0.524 | 0.099 | 0.098 | 0.761 | 0.150 | 0.645 | 0.150 | 0.645 | –0.350 | 0.282 | –0.250 | 0.442 | –0.143 | 0.652 |
| Incheon | 0.683b | 0.033 | 0.586 | 0.068 | 0.586 | 0.068 | 0.098 | 0.761 | 0.550 | 0.091 | 0.564 | 0.087 | 0.158 | 0.634 | –0.205 | 0.534 | –0.293 | 0.362 | 0.150 | 0.645 | –0.150 | 0.645 |
| Ulsan | 0.651b | 0.046 | 0.651b | 0.046 | 0.951b | 0.003 | 0.851b | 0.009 | 0.651b | 0.046 | 0.108 | 0.751 | 0.158 | 0.637 | 0.308 | 0.351 | 0.053 | 0.875 | 0.053 | 0.875 | 0.250 | 0.442 |
| Chungcheongnam-do | 0.683b | 0.033 | 0.488 | 0.129 | 0.878b | 0.006 | 0.390 | 0.224 | 0.781b | 0.015 | 0.000 | 1.000 | –0.256 | 0.437 | 0.154 | 0.641 | –0.450 | 0.167 | 0.150 | 0.645 | –0.250 | 0.442 |
| Chungcheongbuk-do | 0.451 | 0.167 | 0.410 | 0.214 | 0.551 | 0.091 | 0.718b | 0.030 | 0.551 | 0.091 | –0.050 | 0.878 | –0.053 | 0.875 | 0.308 | 0.351 | 0.000 | 1.000 | –0.410 | 0.214 | 0.150 | 0.645 |
| Gangwon-do | 0.451 | 0.167 | –0.050 | 0.878 | 0.451 | 0.167 | –0.513 | 0.120 | 0.551 | 0.091 | 0.462 | 0.162 | 0.000 | 1.000 | 0.000 | 1.000 | –0.103 | 0.756 | –0.223 | 0.517 | 0.308 | 0.351 |
| Gyeonggi-do | 0.751b | 0.021 | 0.551 | 0.091 | 0.751b | 0.021 | 0.433 | 0.200 | 0.651b | 0.046 | 0.632 | 0.059 | 0.237 | 0.502 | 0.723b | 0.035 | –0.263 | 0.432 | 0.178 | 0.608 | –0.501 | 0.145 |
| Gyeongsangnam-do | –0.053 | 0.874 | –0.159 | 0.634 | –0.053 | 0.874 | –0.159 | 0.634 | –0.053 | 0.874 | –0.053 | 0.874 | 0.325 | 0.336 | –0.217 | 0.521 | 0.000 | 1.000 | 0.457 | 0.190 | 0.651 | 0.054 |
| Gyeongsangbuk-do | 0.195 | 0.543 | 0.098 | 0.761 | 0.195 | 0.543 | –0.205 | 0.534 | 0.050 | 0.878 | –0.050 | 0.878 | –0.308 | 0.351 | 0.308 | 0.351 | 0.195 | 0.543 | 0.450 | 0.167 | 0.350 | 0.282 |
| Jeju-do | 0.000 | 1.000 | –0.150 | 0.645 | 0.683b | 0.033 | –0.195 | 0.543 | 0.390 | 0.224 | –0.154 | 0.641 | –0.350 | 0.282 | –0.158 | 0.634 | –0.350 | 0.282 | –0.350 | 0.282 | –0.050 | 0.878 |
| Jeollabuk-do | 0.619 | 0.051 | 0.810b | 0.011 | 0.714b | 0.024 | –0.524 | 0.099 | 0.619 | 0.051 | 0.514 | 0.117 | –0.411 | 0.210 | 0.651b | 0.046 | –0.150 | 0.645 | –0.429 | 0.176 | –0.048 | 0.881 |
| Jeollanam-do | 0.053 | 0.874 | 0.265 | 0.427 | 0.265 | 0.427 | 0.108 | 0.748 | 0.108 | 0.748 | –0.294 | 0.403 | –0.217 | 0.521 | 0.250 | 0.481 | –0.217 | 0.521 | 0.217 | 0.521 | –0.171 | 0.620 |
- REFERENCES
- REFERENCES
References
1. International Agency for Research on Cancer. IARC Monographs on the Evaluation of Carcinogenic Risks to Humans: Outdoor Air Pollution. Lyon: International Agency for Research on Cancer; 2014.2. World Health Organization. WHO's Ambient Air Pollution database: Update 2014. Geneva: World Health Organization; 2014.3. Hsu A, Emerson J, Levy M, de Sherbinin A, Johnson L, Malik O, et al. The 2014 environmental performance index. New Haven: Yale Center for Environmental Law and Policy; 2014. p. 4701-35.4. Ristovski ZD, Miljevic B, Surawski NC, Morawska L, Fong KM, Goh F, et al. Respiratory health effects of diesel particulate matter. Respirology 2012;17(2):201-12.
[Article] [PubMed]5. Dockery DW, Pope CA 3rd. Acute respiratory effects of particulate air pollution. Annu Rev Pub Health 1994;15:107-132.
[Article]6. Schwartz J. What are people dying of on high air pollution days? Environ Res 1994;64(1):26-35.
[Article] [PubMed]7. Katsouyanni K, Touloumi G, Spix C, Schwartz J, Balducci F, Medina S, et al. Short-term effects of ambient Sulphur dioxide and particulate matter on mortality in 12 European cities: results from time series data from the APHEA project. Air Pollution and Health: a European Approach. BMJ 1997;314(7095):1658-63.
[Article] [PubMed] [PMC]8. Bateson TF, Schwartz J. Who is sensitive to the effects of particulate air pollution on mortality? A case-crossover analysis of effect modifiers. Epidemiology 2004;15(2):143-9.
[Article] [PubMed]9. Kwon HJ, Cho SH, Nyberg F, Pershagen G. Effects of ambient air pollution on daily mortality in a cohort of patients with congestive heart failure. Epidemiology 2001;12(4):413-9.
[Article] [PubMed]10. Hystad P, Demers PA, Johnson KC, Carpiano RM, Brauer M. Long-term residential exposure to air pollution and lung cancer risk. Epidemiology 2013;24(5):762-72.
[Article] [PubMed]11. She J, Yang P, Hong Q, Bai C. Lung cancer in China: challenges and interventions. Chest 2013;143(4):1117-26.
[Article] [PubMed]12. Evans J, van Donkelaar A, Martin RV, Burnett R, Rainham DG, Birkett NJ, et al. Estimates of global mortality attributable to particulate air pollution using satellite imagery. Environ Res 2013;120:33-42.
[Article] [PubMed]13. Salvador P, Artiñano B, Querol X, Alastuey A. A combined analysis of backward trajectories and aerosol chemistry to characterise long-range transport episodes of particulate matter: the Madrid air basin, a case study. Sci Total Environ 2008;390(2–3):495-506.
[Article] [PubMed]14. Raaschou-Nielsen O, Andersen ZJ, Beelen R, Samoli E, Stafoggia M, Weinmayr G, et al. Air pollution and lung cancer incidence in 17 European cohorts: prospective analyses from the European Study of Cohorts for Air Pollution Effects (ESCAPE). Lancet Oncol 2013;14(9):813-22.
[PubMed]15. Chen X, Zhang LW, Huang JJ, Song FJ, Zhang LP, Qian ZM, et al. Long-term exposure to urban air pollution and lung cancer mortality: a 12-year cohort study in Northern China. Sci Total Environ 2016;571:855-61.
[Article] [PubMed]16. Seagrave J. Mechanisms and implications of air pollution particle associations with chemokines. Toxicol Appl Pharmacol 2008;232(3):469-77.
[Article] [PubMed] [PMC]17. Totlandsdal AI, Cassee FR, Schwarze P, Refsnes M, Låg M. Diesel exhaust particles induce CYP1A1 and proinflammatory responses via differential pathways in human bronchial epithelial cells. Part Fibre Toxicol 2010;7:41.
[Article] [PubMed] [PMC]18. Kang CM, Jang AS, Ahn MH, Shin JA, Kim JH, Choi YS, et al. Interleukin-25 and interleukin-13 production by alveolar macrophages in response to particles. Am J Respir Cell Mol Biol 2005;33(3):290-6.
[Article] [PubMed]19. Seaton A, MacNee W, Donaldson K, Godden D. Particulate air pollution and acute health effects. Lancet 1995;345(8943):176-8.
[Article] [PubMed]
