한국 노인에서 가족 구성에 따른 식사의 질
-
윤경준1
, 박현아2
, 조영규2
Familial Types and Dietary Quality in Korean Elderly
-
Kyoungjoon Youn1
, Hyun Ah Park2
, Young Gyu Cho2
- Received December 29, 2021 Revised April 7, 2022 Accepted April 7, 2022
- ABSTRACT
-
- 연구배경
- 가구 구성은 식사의 질에 영향을 미친다. 본 연구에서는 국내 65세 이상의 노인들을 대상으로 가구 구성과 한국인 식생활평가지수로 측정한 식사의 질과의 관련성을 평가하고자 실시되었다.
- 방법
- 2016-2018년 국민건강영양조사에 참여한 65세 이상 성인 4,260명을 연구 대상으로 하여 단면 연구를 실시하였다. 영양조사 중 식생활조사, 식품섭취빈도 조사를 모두 참여한 연구 대상자들의 14항목으로 구성된 한국인 식생활평가지수(KHEI)를 산출하였다. 가구조사 자료를 사용하여 연구 대상자를 1인 가구(LA군), 배우자와 함께 거주하는 가구(LP군), 배우자 외 타인과 거주하는 가구(LO군)로 분류하였다.
- 결과
- 남녀 노인 모두에서 LP군은 LO군보다 KHEI로 측정한 식사의 질이 높았다(남녀 모두 P<0.05). 남성 노인에서는 LA군(64.5; SE, 1.0)은 LP군(66.9; SE, 0.6)보다 KHEI가 낮았으나(P<0.05), 여성 노인에서는 유의한 차이가 없었다. LA군, LP군, LO군의 순으로 KHEI 50점의 불량한 식사의 질을 보인 비율은 남성 노인은 20.6% (SE, 2.7), 7.3% (SE, 0.8), 8.9% (SE, 3.6)였으며, 여성 노인에서는 9.6% (SE, 1.2), 5.7% (SE, 0.8), 12.9% (SE, 1.8)였다. 관련된 모든 변수를 보정한 후, LP군과 비교하였을 때 남성 노인 LA군에서 불량한 식사의 질을 보일 OR은 2.45 (95% CI, 1.66-3.60), 여성 노인 LO군의 OR은 1.98 (95% CI, 1.19-3.28)였다.
- 결론
- 한국 노인에서 가구 구성은 식사의 질에 영향을 미친다. 동거인이 미치는 영향은 성별에 따라 차이를 보였다.
- ABSTRACT
-
- Background
- The aim of this study is to assess the relationships between familial types and dietary quality measured by the Korean Healthy Eating Index (KHEI) in representative Korean elderly.
- Methods
- We used cross-sectional data from 4,260 Korean elderly, aged over 65 years, who had participated in the 2016-2018 Korea National Health and Nutrition Examination Survey. The 14-item KHEI scores were calculated from the Food Frequency Questionnaire and the Dietary Habit Survey from the Nutrition Survey. Familial type was categorized into three groups of Live alone (LA), Live with a partner with or without other(s) (LP), and Live with other(s) without a partner (LO) based on the Household Interview Survey.
- Results
- LP had better dietary quality than LO for both sexes (both P<0.05). LA (64.5; standard error [SE], 1.0) had worse dietary quality than LP (66.7; SE, 0.6]) in elderly male (P<0.05) while they were not significantly different in elderly female. The percentages of subjects having poor dietary quality (total KHEI score of ≤50) in LA, LP, and LO were 20.6% (SE, 2.7), 7.3% (SE, 0.8), 8.9% (SE, 3.6) in elderly male, and 9.6% (SE, 1.2), 5.7% (SE, 0.8), 12.9% (SE, 1.8) in elderly female, respectively. The multivariate-adjusted odds ratios of having poor dietary quality compared with LP was 2.45 (95% confidence interval [CI], 1.66-3.60) for LA male, and 1.98 (95% CI, 1.19-3.28) for LO female.
- Conclusions
- Familial type affects dietary quality in Korean elderly. However, differential associations were shown between elderly male and female.
- 서 론
- 서 론
고령화로 인한 65세 이상의 노인인구 증가와 함께 1인 가구의 증가는 현대 한국사회가 보이는 대표적인 인구사회학적인 변화이다. 1인 가구 중에서도 65세 이상 노인에서의 1인 가구의 증가는 괄목할 만하다[1]. 2020년 인구주택총조사에 따르면, 65세 이상 노인의 1인 가구는 2015년 122만 가구에서 5년 사이 36% 증가하여 166만 가구가 되었으며 이는 전체 노인 가구의 21.2%를 차지하는 규모이다. 1인 가구의 증가폭은 연령대가 올라갈수록 커져 80세 이상에서는 동기간 동안 50%가 증가하여 2020년 47만 가구에 이르러, 건강 상태와 경제 상황이 상대적으로 더 취약한 고령인구에서 1인 가구가 더 빨리 늘고 있는 실정이다.가구 구성은 구성원의 건강 행태와 건강 상태에 영향을 미친다. 영국 런던에 거주하는 65세 이상 노인 2,601명을 대상으로 한 연구에 의하면 노인 1인 가구의 경우 다인 가구에 비해 신체 활동도가 낮고, 불량한 식습관을 보이며, 특히 소득수준이 낮은 노인 여성 1인 가구에서는 과일과 식이섬유 섭취가 부족하였고[2], 65세 이상 일본인 83,364명을 대상으로 한 연구에서도 노인 1인 가구 중 특히 남성에서는 다인 가구에 비해 건강하지 않은 식행동과 높은 비만 유병률을 보였다[3]. 경기북부에 거주하는 60세 이상 노인 3,680명을 대상으로 한 국내 연구에서도 노인 1인 가구의 경우 식품 섭취의 다양성이 낮으며, 과일, 채소류 섭취량이 적었고, 여성의 경우는 특히 육류와 생선의 섭취 빈도가 낮아 단백질 섭취가 부족함을 보고하였다[4].가구 구성은 식사의 질에 영향을 미치며, 식사의 질과 관련된 건강 행태에 영향을 미치고, 결과적으로 개인의 건강 상태에까지 영향을 미치게 된다. 특히 노인에서는 소득수준이 낮아지고, 신체 활동이 줄어들며, 식품을 구매하고 식사를 준비하는 데 어려움이 있어, 노인 1인 가구의 경우 다인 가구 내의 노인에 비해 식사를 거르는 빈도가 높으며, 영양 불량의 위험이 높다[5]. 실제 2014년 국내 4,991가구를 대상으로 진행된 9차 한국복지패널 통계자료에 의하면 전체 노인 가구 중에서 노인 1인 가구의 경우 다인 가구 내의 노인보다 높은 만성 질환 유병률, 외래진료 경험률, 입원율을 보였다[6].최근까지 식품 섭취와 건강의 관련성에 대한 대부분의 연구는 개별 식품이나 영양소, 또는 식사 패턴에 대한 연구에 치우쳐져 있다. 하지만 영양소나 식품은 다른 영양소와 식품과의 상호작용으로 건강에 영향을 미치므로 단백질, 과일과 채소, 전곡류, 비타민, 무기질 등 개별 식품이나 영양소의 섭취를 평가하기보다는 전반적인 식사의 질을 파악하는 것이 더욱 필요하다[7]. 현재 미국, 캐나다 및 서유럽의 국가에서 식생활의 질에 대한 평가를 위해 식생활평가지수(Healthy Eating Index, [HEI])를 개발하여 자국민의 식생활 수준을 모니터링하고 개선을 위한 정책수립의 근거자료로 이용하고 있다[8-11]. 국내에서는 제5기 국민건강영양조사 자료를 기반으로, 국내외 식생활지침과 한국인 영양소섭취기준, 대사질환과의 관련성 분석을 통해 한국인 식생활평가지수(Korean Healthy Eating Index [KHEI])가 개발되어 한국인 성인에서 전반적인 식생활을 평가하는 도구로 사용되고 있다[12].일본의 Ohasama 연구에 의하면 노인의 경우 1인 가구인지 다인 가구인지도 중요하지만 다인 가구의 경우 누구와 살고 있는가도 식사의 질에 유의한 영향을 미치는 것으로 보고하고 있다[13]. 하지만 국내에서 발표된 대부분의 가구 구성과 식사의 질에 대한 연구는 1인 가구를 중심으로 한 연구로 1인 가구 외 다양한 가구 구성이 식사의 질에 미치는 영향을 반영하지 못하고 있다[14]. 본 연구에서는 국민건강영양조사에 참여한 65세 이상 한국인 노인을 대상으로 KHEI를 사용하여 가구 구성이 식사의 질에 미치는 영향을 파악하고자 실시되었다.
- 방 법
- 방 법
- 1. 연구 대상
- 1. 연구 대상
본 연구에서는 제7기 국민건강영양조사(2016-2018년)의 3가지 조사인 건강설문조사, 검진조사, 영양조사를 모두 참석한 65세 이상 노인을 대상으로 하였다. 영양조사 중 식생활조사, 식품섭취빈도 조사에 모두 참여하여 KHEI를 평가할 수 있었던 남성 1,829명, 여성 2,431명을 최종 연구 대상으로 하였다. 본 연구는 서울백병원 임상시험심사위원회의 심의면제 승인을 받고 진행하였다(PAIK 2021-12-004).- 2. 가족 구성 평가
- 2. 가족 구성 평가
가족 구성은 7기 국민건강영양조사 중 건강설문조사에서 가구 유형과 결혼 상태를 바탕으로 1인 가구(live alone, LA), 배우자와 거주 또는 배우자 포함 다른 사람과 거주하는 경우(live with a partner with or without other[s], LP), 배우자 없이 다른 사람과 거주하는 경우(live with other[s] without a partner, LO) 3가지 유형으로 나누었다. 다인 가구에서 배우자와 거주 여부를 중요 분별점으로 설정한 이유는 선행 연구에서 배우자와 동거 유무가 식품 섭취에 있어 의미 있는 영향을 미치기 때문이다[15-17].- 3. 식사의 질 평가
- 3. 식사의 질 평가
식사의 질은 질병관리청에서 한국인의 전반적인 식생활과 식사의 질을 평가하기 위한 개발한 총 14문항의 KHEI를 사용하였다. KHEI는 식품과 영양소 섭취의 적정성(KHEI adequacy)을 평가하는 8항목과 섭취를 제한하는 식품과 영양소의 절제성(KHEI moderation)을 평가하는 3항목, 에너지 섭취의 균형을 평가하는 균형성(KHEI proportion)을 평가하는 3항목으로 구성되어 있다. 우선 적정성 평가 영역에서는 잡곡, 과일, 채소 관련 3항목은 각 0-5점, 그 이외 5항목은 각 0-10점을 부여하며 해당 영역의 총점은 55점이다. 절제성 평가 영역의 3개 항목에는 포화지방산 에너지 섭취비율(0-10점), 나트륨 섭취(0-10점), 당류·음료류 에너지 섭취비율(0-10점)로 구성되어 있으며 해당 영역의 총점은 30점이다. 에너지 섭취 균형성 평가 영역의 3개의 항목은 탄수화물로부터 에너지를 얻은 비율(0-5점), 지방으로부터 에너지를 얻은 비율(0-5점), 총 에너지량 섭취 정도(0-5점)로 구성되어 해당 영역의 총점은 15점이다. 총 KHEI의 점수는 100점이며, 이를 기준으로 하여 80점 초과시 식생활이 양호한 상태로, 51점과 80점 사이는 식생활 개선이 필요한 상태로, 50점 이하는 식생활 불량으로 평가한다. KHEI의 자세한 계산 방법은 선행 연구를 통해 자세히 참조할 수 있다[12].- 4. 공변량 측정
- 4. 공변량 측정
공변량은 기존 관련 연구를 참조하였다[14,16,18]. 가구소득은 월 평균 가구소득을 가구원 수의 제곱근으로 나누어서(월 가구소득/√가구원 수) 계산한 값으로 이를 사분위수로 나누어 최하위(106.07만 원 미만), 하위(106.07-202.07만 원), 상위(202.08-317.97만 원), 최상위(317.97만 원 초과)로 분류하였다. 교육수준은 교육년수에 따라 교육년수 9년 이하(중졸 이하), 10-15년(고등학교 중퇴-대학 중퇴), 16년 이상(대졸 이상)의 3개 범주로 분류하였다. 동지역 거주자는 도시지역 거주자로, 읍면 거주자는 농촌지역 거주자로 거주지역을 범주화하였다.흡연력은 현재 흡연과 비흡연으로 나누었고, 음주력은 주당 음주 횟수에 따라 비음주, 주 1회, 주 2회 이상으로 범주화하였다. 일주일에 중강도 신체 활동을 2시간 30분 이상 또는 고강도 신체 활동을 1시간 15분 이상 또는 중강도와 고강도를 섞어서(고강도 1분은 중강도 2분으로 계산) 각 활동에 상당하는 시간을 실천한 경우 일주일간 600 metabolic equivalent task 이상의 운동을 한 것으로 정의하여 적절한 유산소 신체 활동을 실천한 것으로 평가하였다. 의사로부터 뇌졸중, 심근경색증, 당뇨병, 우울증, 만성 콩팥병, 간경화, 암을 진단받은 경우를 만성 질환 유병 상태로 분류하였다.- 5. 통계 분석
- 5. 통계 분석
통계 분석은 국민건강영양조사의 층화집락추출과 무응답을 고려한 가중치를 준 SPSS Statistics version 24.0 software (IBM Co., Armonk, NY, USA)의 복합표본분석을 사용하였다. 모든 분석은 성별로 나누어서 실시하였다. 첫째, 가구 구성에 따른 사회 인구적 특성, 건강행동, 만성질환 유병은 기술적 통계를 사용하여 평균(표준오차) 또는 비율(표준오차)로 제시하였다. 둘째, 노인을 75세를 기준으로 65-74세의 전기 노인과 75세 이상의 후기 노인으로 나눈 후 연령군에 따른 한국인 노인의 비보정 KHEI 점수를 그림 1에 제시하였다. 셋째, 다변량선형모형을 사용하여 연령(연속변수), 가구소득(하, 중하, 중상, 상), 교육수준(교육년수 9년 이하, 10-15년, 16년 이상), 거주지역(도시, 농촌), 흡연 여부(흡연, 비흡연), 주간 음주 횟수(0회, 1회, 2회 이상), 유산소운동 실천 여부(실천, 미실천), 만성 질환 유병(있음, 없음)을 보정한 보정 KHEI를 계산하고, 가구 구성과 KHEI의 관련성을 평가하였다. KHEI를 14군을 3개군의 적정성 평가지수(KHEI adequacy, 8항목의 합산), 절제성평가 지수(HEI moderation, 3항목의 합산), 에너지 섭취 균형성 평가지수(HEI proportion, 3항목의 합산)로 나눈 후 가구 구성에 따른 각 3개의 영역별 점수를 100점 만점으로 환산하여 그림 2로 제시하였다. 넷째, KHEI 50점 이하를 식생활 평가지표 불량으로 정의하고, LP군을 기준으로 하여, LA군과 LO군의 식생활평가지표 불량에 속할 위험을 이분형 로지스틱 회귀분석모형(binary logistic regression model)으로 평가하였다. 모델 1에서는 연령을 보정하였고, 모델 2에서는 모델 1에 추가로 사회경제수준지표를 보정, 모델 3에서는 모델 2에 건강 행태를 추가 보정, 모델 4에서는 모델 3에 만성 질환 유병 상태를 추가로 보정하여 odds ratio (OR)를 구하였다. P-value <0.05, 유의수준 5%를 기준으로 하여 통계적 유의성을 부여하였다.
- 결 과
- 결 과
- 1. 가구 구성에 따른 연구 대상자의 사회인구적 특성과 건강행동
- 1. 가구 구성에 따른 연구 대상자의 사회인구적 특성과 건강행동
총 연구 대상자는 4,260명이였으며 이 중 남성 노인 1,829명은 한국인 남성 노인 3,326,371명을, 여성 노인 2,431명은 한국인 여성 노인 4,112,873명을 대표하고 있었다(Table 1).남성의 평균 연령은 72.8세(standard error [SE], 0.1), 여성은 73.0세(SE, 0.1)였으며, 노인의 세 그룹별 해당 비율은 남녀의 평균 수명 차이로 인해 남성 노인에서는 LA군이 11.8% (SE, 0.9), LP군은 84.0% (SE, 1.0)였으며, 여성 노인에서는 LA군이 25.8% (SE, 1.1), LP군은 49.2% (SE, 1.3)였다. 남녀 모두에서 LP군은 LA군이나 LO군보다 연령이 낮았다. 가구소득은 LA군에서 낮아 가구소득이 하위나 중하위에 속하는 경우가 LA군 남성에서는 86.9%, LA군 여성에서는 95.3%였다. 16년 이상의 교육 수준을 가진 경우는 남녀 모두 LP군에서 가장 높아 남성 노인에선 18.5% (SE, 1.3), 여성 노인에선 7.5% (SE, 1.1)였다. 남성 흡연율을 제외하고(P=0.002), 여성 흡연율(P=0.199), 주당 음주 횟수(남성 P=0.422, 여성 P=0.155) 유산소운동 실천율(남성 P=0.455, 여성 P=0.310)은 가구 구성에 따른 차이를 보이지 않았다. 만성 질환 유병 상태는 남녀 모두에서 가구 구성에 따른 차이를 보이지 않았다.- 2. 한국인 노인의 성별, 연령별 식생활평가지수
- 2. 한국인 노인의 성별, 연령별 식생활평가지수
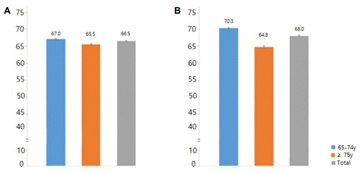
그림 1에는 65세 이상 전체 노인, 75세 미만의 전기노인과 75세 이상의 후기노인으로 나누어 KHEI를 제시하였다. 전체 여성 노인군(68.0; SE, 0.3)에서 전체 남성 노인군(66.5; SE, 0.4)보다 높은 KHEI를 보였으며(P<0.001), 같은 성별에서는 75세 미만의 전기노인에서 75세 이상의 후기노인보다 높은 KHEI를 보였다(남성 P=0.019, 여성 P<0.001).- 3. 가구 구성에 따른 식생활평가지수
- 3. 가구 구성에 따른 식생활평가지수
남성 노인에서 LA군, LP군, LO군의 KHEI는 각각 64.5 (SE, 1.0), 66.9 (SE, 0.6), 63.5 (SE, 1.7)였다. 가장 KHEI가 높은 LP군과 비교하여, LA군(P<0.05)과 LO군(P<0.05) 모두 KHEI가 의미 있게 낮았다. 반면, 여성 노인에서는 LA군의 KHEI는 68.6 (SE, 1.2)로 LP군의 68.6 (SE, 1.2)와는 차이를 보이지 않았으나, LO군의 경우는 65.1 (SE, 1.2)로 LP군보다 의미 있게 낮았다(P<0.001) (Table 2).KHEI를 구성하는 14개의 항목 중 남성 노인 LA군은 아침식사(P<0.05), 잡곡 섭취(P<0.001), 포화지방산 에너지 섭취비율(P<0.05), 당류·음료류 에너지 섭취비율(P<0.05)에서 LP군과 비교하여 낮은 점수를 보였으나, LO군과는 아침식사(P<0.05) 1가지 항목을 제외한 나머지 13가지 항목에서는 LP군과 비교하여 의미 있는 차이를 보이지 않았다. 여성 노인에서는 LP군과 LA군의 차이보다 LP군과 LO의 차이가컸다. 여성 LO군은 여성 LP군보다 아침식사(P<0.001), 총 과일 섭취(P<0.05), 생과일 섭취(P<0.05), 총 채소 섭취(P<0.05), 김치장〮아찌류를 제외한 채소 섭취(P<0.05), 고기생〮선달〮걀콩〮류 섭취(P<0.05) 항목에서 낮은 점수를 보였다. 여성 LA군은 여성 LP군보다 아침식사(P<0.05), 총 채소 섭취(P<0.05)가 낮았지만, 특이하게도 우유 및 유제품 섭취 항목에서 LA군이 4.0 (SE, 0.4)으로 LP군 3.3 (SE, 0.4)보다 높았다(P<0.05).KHEI를 14군을 적정성평가지수(8항목), 절제성평가지수(3항목), 에너지 섭취 균형성평가지수(3항목)의 3가지 항목으로 나누어 가구 구성에 따른 영역별 점수를 100점 만점으로 환산하여 그림 2에 제시하였다. 적정성평가지수는 LP군과 비교할 때 남성 노인에서는 LA군에서 의미 있게 낮았으며(33.7 [SE, 0.5] 대 32.1 [SE, 0.9], P<0.05), 여성 노인에서는 LO군에서 의미 있게 낮았다(34.8 [SE, 0.9] 대 31.5 [SE, 0.8, P<0.05).- 4. 가구 구성에 따른 식생활 불량 위험도
- 4. 가구 구성에 따른 식생활 불량 위험도
KHEI 50점 이하를 식생활 불량으로 정의하였을 때, 가구 구성에 따른 식생활 불량의 OR를 표 3에 제시하였다. 남성 노인에서 LA군, LP군, LO군의 식생활 불량자 비율은 각각 20.6% (SE, 2.7), 7.3% (SE, 0.8), 8.9% (SE, 3.6)였으며, 여성 노인에서는 각각 9.6% (SE, 1.2), 5.7% (SE, 0.8), 12.9% (SE, 1.8)였다.남성 노인의 LA군은 평가한 4가지의 로지스틱 회귀분석 모델 모두에서 LP군과 비교하여 KHEI 식생활 불량군에 해당할 위험이 높았다(모든 P<0.001). 연령, 사회경제적 지표, 건강행동지표, 주관적 건강 상태를 모두 보정한 모델 4에서도 LA군은 2.45배(95% confidence interval [CI], 1.66-3.60)의 식생활 불량 위험도 증가를 보였다. LO군은 4개 모델 모두에서 LP군과 비교하여 유의한 위험도 증가는 없었다(모든 P>0.05).반면, 여성 노인에서는 남성 노인과는 다른 패턴을 보였는데, 여성 노인의 LA군은 LP군과 비교하여 식생활 불량의 위험도가 유의하게 증가하지 않은 반면(모든 P>0.05), LO군은 평가한 모든 모델에서 식생활 불량의 위험도가 높아져, 관찰한 모든 공변량을 보정한 모델 4에서 1.98배(95% CI, 19-3.28)의 위험도 증가를 보였다(P=0.008).
- 고 찰
- 고 찰
본 연구에서는 2016-2018년 국민건강영양조사에 참여한 65세 이상의 한국인 노인을 대상으로 가구 구성이 KHEI를 사용한 식사의 질에 미치는 영향을 평가하였다. 가구 구성이 식사의 질에 미치는 영향은 성별로 차이가 있어 남성 노인에서는 LA군과 LO군이, 여성 노인에서는 LO군이 식사의 질에서 취약계층으로 확인되었다. 기존 연구에서 독거가 식행동을 포함한 건강행동의 위험요인으로 알려져 왔으나 본 연구를 통해 독거인지 다인 거주인지도 중요하지만, 여성 노인에서는 누구와 사는지도 중요한 영향을 미치는 것으로 확인되었다.대부분의 연구에서 부부의 동거는 양질의 식생활을 담보한다. 여성은 결혼을 하여 부부라는 가구 구성으로 변화하면, 규칙적으로 식자재를 구입하고, 건강한 식습관을 서로 공유하기 때문에 식행동과 영양 섭취가 더욱 건강해지는 것으로 보고되고 있다[19]. 반면, Eng 등[20]은 이혼이나 사별한 남성은 채소 섭취량이 적고, 인스턴트 식품의 섭취가 많다고 보고하였고, 배우자 비동거 남성이 배우자 동거 남성에 비해 식사의 질이 낮다는 보고도 있다[17,21]. 본 연구에서도 남성 노인의 LP군(66.9; SE, 0.6)의 KHEI가 LA군(64.5; SE, 1.0)이나 LO군(63.5; SE, 1.7)보다 유의하게 높았으며, 여성 노인에서도 LP군(68.6; SE, 1.2)의 KHEI가 LO군(65.1; SE, 1.2)보다 유의하게 높아 한국 노인에서도 부부가 동거하는 경우 식사의 질이 높은 것으로 확인되었다.대부분의 연구에서 가구 구성은 연령대와 관계없이 여성보다 남성에 있어서 식사의 질에 더 큰 영향을 미치는 것으로 보인다. 2014-2016년도 국민건강영양조사를 대상으로 한 Kang과 Jung [14]의 연구에서는 19-64세 청년중년층을 대상으로 남성 1인 가구의 경우, 여성 1인 가구에 비해 영양 불균형률이 높다고 보고하였다. 부부로 지내면서 얻는 식사의 질에서의 혜택은 여성보다 남성에게 더 크다[15]. 이는 가족 구성원으로서 여성의 역할이 돌봄의 제공이고, 구성원의 건강과 식단에 더 많이 관여하는 것이 원인으로 보여진다[15]. 본 연구에서도 가족 구성이 식사의 질에 미치는 영향은 성별로 달랐는데, 남성에서는 LA군과 LO군 모두 LP군과 비교하여 KHEI로 평가한 식사의 질이 낮았지만, 여성에서는 LA군과 LP군의 차이가 없었고, 특이하게도 LO군에서 LP군보다 낮은 KHEI를 보였다. 여성 노인이 배우자 아닌 다른 사람과 거주하는 경우, 식사의 질이 낮아지는 경향은 60세 이상 일본인 1,542명을 대상으로 한 Ohasama 연구에도 보고되었다[13].왜 여성 노인은 혼자 살 때와 배우자와 살 때 같은 식사의 질을 유지하지만, 배우자가 아닌 타인과 거주하면 식사의 질이 낮아질까? 원인을 추정해 보면 여성 노인에서는 자녀, 손주 등 남편이 아닌 타인과 함께 거주함으로써 가사노동이 증가할 수 있으며 이는 실제 여성의 식생활의 질을 떨어뜨리는 요인이 될 수 있다. Paik [22]은 2006-2012년도 고령화연구패널조사(Korean longitudinal study of aging) 자료를 사용하여 손주를 돌보는 노인의 경우는 운동시간이 줄어들고, 불규칙한 식사를 할 위험성이 높다고 보고하였다. 남성 LO 군은 가족 내에서 타인이 준비한 식사를 제공받을 가능성이 높은 반면[3], 조심스럽게 추정해 본다면, 여성의 LO군은 남성의 LO군과는 달리 가족 내에서 돌봄의 인력으로 역할하고 있을 가능성이 있다. 이러한 측면에서 여성 노인은 남성 노인과 다르게 배우자가 아닌 타인과의 동거가 식생활의 질에 있어서 손해로 작용할 수 있다. LO군에서 건강문제로 식사의 질이 낮아졌을 가능성도 있지만 연령, 사회경제수준, 건강행동을 보정한 모델 3과 모델 3에 추가로 만성 질환 유병 여부를 보정한 모델 4에서도 여성 노인 LO군은 LP군과 비교하여 식생활평가지표 불량군(KHEI 50점 이하)에 속할 위험도가 2배(1.98; 95% CI, 1.19-3.28) 정도 높았기 때문에 건강문제로 식사의 질이 낮아졌을 가능성은 낮다고 할 수 있다. 실제 본 연구에서 나타난 여성 LO군의 만성 질환 유병률은 39.5%로 LA군의 46.6%보다 낮다. 다른 가능성으로는 혼자 사는 남성과 여성에서 건강행동의 차이가 원인일 수 있다. 혼자 사는 여성은 혼자 사는 남성보다 건강행동을 잘 지키는데, 절주와 금연뿐만 아니라 음식 섭취에 대한 적응력이 높고, 사회 연결망에 더 쉽고 광범위하게 접촉하는 것으로 보여진다[23].본 연구에서는 65세 이상 노인층만을 대상으로 하였으나 모든 성인 연령을 대상으로 한 2020년 식품소비행태조사에서는 가구 구성이 식행동에 미치는 영향은 연령에 따라서도 달라지는 것으로 보인다. 20-30대의 경우는 1인 가구가 다인 가구와의 비교에서 ‘아침식사와 규칙적 식사’ 영역과 ‘채소, 과일, 통곡류 섭취’ 영역에서 1인 가구가 다인 가구에 비해 유의적으로 낮은 점수를 보였으나, 40-50대에서는 양 군 간 유의한 차이가 없었다[24].KHEI를 구성하는 14개의 개별 항목을 살펴보면 남성 노인 LA군의 경우는 아침식사, 잡곡 섭취, 포화지방산 에너지 섭취비율, 당류·음료류 에너지 섭취비율에서 LP군에 비해 낮은 점수를 보였다. 포화지방산 에너지 섭취비율, 당류·음료류 에너지 섭취비율 모두 절제성평가지수에 포함되기 때문에 남성노인 LA군의 절제성평가지수(24.0)는 LP군의 절제성평가지수(25.0)보다 낮은 점수를 보였다. 반면, 여성노인 LA군에서는 이러한 경향성을 보이지 않았다. 차이의 원인으로는 포화지방산과 당류 섭취 모두 외식과 인스턴트 식품 섭취가 증가할 때 늘어나는데, 가구 구성에 따른 외식 섭취가 성별에 따른 차이를 보이기 때문으로 추정된다[25].흥미롭게도 KHEI의 항목 중 유제품 섭취 점수에 있어서 여성 노인 LA군의 점수(4.0)가 LP군(3.3)에 비해 유의미하게 높았다. 이는 아침식사의 횟수나 총 채소의 섭취가 유의미하게 여성 노인 LA군이 LP군에 비해 낮았던 점과 다른 특징적인 부분이다. 아침식사와 채소 섭취는 모두 조리가 필요한 식품인 반면, 유제품으로 섭취하는 우유, 요거트, 치즈는 조리과정 없이 간편하게 섭취 가능한데다, 고관절 골절의 위험을 낮추는 등의 근골격계에 대한 보호효과와 함께 보행속도 감소와 체중 감소 위험을 낮추는 효과가[20,21] 여러 경로를 통해 대중들에게 알려졌고, 이러한 과정에서 영양과 건강에 대한 관심이 높고 수용성이 높은 여성 노인들이 영향을 받아 나타난 결과로 추정된다.특정 영양소가 건강에 미치는 영향에 대해서는 많은 연구가 이루어졌지만, 실제 사람이 선택해서 섭취하는 것은 영양소가 아니고 식품이기 때문에 영양소를 중심으로 한 연구보다는 식사의 질을 다각도로 평가하는 도구가 필요하다. 외국에서는 일찍부터 식사의 질을 평가하기 위한 도구개발에 많은 관심을 쏟아, 1995년 미국의 HEI가 개발된 이후로[8] 지중해연안의 Mediterranean Diet Score (MDS) [10], 2009년 캐나다의 Canadian Healthy Eating Index (HEIC-2009) [11], 유럽의 Healthy Diet Indicator (HDI) [9] 등이 개발되어 국민의 식생활의 질을 평가하기 위해 사용되어 왔다. 우리나라에서는 2015년에 이르러서야 제5기 국민건강영양조사 자료와 국내 식생활지침을 바탕으로 한국인의 전반적인 식사의 질을 평가할 수 있는 KHEI가 개발되었다. KHEI는 한국인을 대상으로 하는 영양정책에서 중요한 요소로 사용되고 있고 본 연구에서도 식사의 질을 평가하는 평가도구로 사용되었다[12]. KHEI도 외국의 평가도구와 같이 한국인의 식생활 변화와 만성 질환 역학의 변화에 따른 지속적인 개정이 필요하며, 본 연구에서는 단면 연구에 그치고 있으나, 향후 장기간의 종적 연구를 바탕으로 질병 결과와의 관련성 연구가 필요할 것이다.국민건강영양조사가 2018년을 기점으로 가구 구성 조사 방식을 변경하여 연구자들이 대상자가 속한 가구 구성을 파악하기가 쉽지 않았다. 2018년 이전에는 대상자가 속한 세대 구성에 따라 1세대 가구(7가지), 2세대(9가지), 3세대(3가지)로 총 19가지로 나누었으나, 2018년 조사부터는 단순화하여 1세대 가구는 1인 가구, 부부(응답자+배우자), 기타(상기를 제외한 모든 1세대 가구)의 3가지로, 2세대의 가구의 경우는 부부와 미혼자녀, 편부모와 미혼자녀, 기타의 3가지로, 모든 유형의 3세대의 가구는 3세대 이상 가구 한 가지로 총 7가지로 분류하였다. 배우자와 거주 여부가 식사의 질에 영향을 미치는 주요 요인으로 작용하기 때문에[16] 본 연구에서는 가구 구성 변수(genertn)와 배우자와의 거주 여부를 확인하기 위한 결혼 여부를 묻는 변수(marri_1), 결혼 상태를 묻는 변수(marri_2)를 같이 참조하여 연구 대상자를 LA군, LP군, LO군으로 범주화하였다.연구의 단점으로는 첫째, KHEI 산출에 필요한 영양 섭취와 식행동들은 관찰이나 측정이 아닌 자가보고형식의 식생활조사를 바탕으로 하고 있어 자가보고에 의한 비뚤림의 우려가 있다. 둘째, LO군은 부모와 거주, 자식이나 손자와 거주, 형제와 거주, 가족 아닌 지인과 거주 등 여러 가지 다른 형태의 가족 구성의 합이므로 각각의 하위 구성이 각각 다른 식사의 질을 가질 가능성이 있다. 하지만 현재 배포된 국민건강영양조사 자료의 세대 구성은 LO군을 상세한 하위 집단으로 분류하는 것이 가능하지 않다. 셋째, KHEI 항목인 아침식사 빈도를 조사 기간인 이틀간의 아침식사 여부로 판단하였기 때문에 평균적인 아침식사 빈도를 추정하기에는 짧은 기간이다. 넷째, 본 연구는 단면 연구이기 때문에 관찰된 관련성의 인과관계 파악이 가능하지 않다. 많은 단점에도 불구하고, 연구의 장점으로는 기존의 문헌고찰을 통해 가구 구성과 식사의 질에 영향을 미칠 수 있는 많은 변수들을 보정하였는데 특히, 기존 연구에서 사회경제적 지표인 소득과 교육수준은 일관되게 식사의 질에 영향을 미치는 것으로 확인되었으나 본 연구에서는 이러한 요인을 보정하고도 가족 구성이 식사의 질에 영향을 미치는 유의한 요인임을 확인하였다. 가구 구성은 건강 행태에 영향을 미치지만 주로 인구사회학적 분야에서 연구되는 변수로 건강 행태나 건강 상태와의 관련성을 평가한 최근 연구는 많지 않다. 본 연구는 새롭게 개발된 KHEI를 사용하여 대표성 있는 한국인 노인을 대상으로 가구 구성에 따른 식사의 질을 평가하였다는 점에서 의의가 크다.인간 수명의 한계로 인해 가구 구성의 변화는 노인의 삶에서 누구나 겪을 수 있는 피할 수 없는 변화이다. 여성의 평균 수명이 남성보다 길기 때문에 여성 노인에서의 변화는 더욱 클 수밖에 없다. 본 연구에서는 노인 남성 1인 가구뿐 만 아니라 배우자가 아닌 타인과 함께 거주하는 노인은 남성과 여성군 모두에서 식사의 질에 있어 취약계층임이 추가적으로 확인되었다. 영양불균형의 고위험군을 선제적으로 파악하는 것은 영양불균형으로 인한 건강문제가 생기기 전에 예방할 수 있는 기회를 제공한다. 본 연구에서 확인된 노인 취약집단을 대상으로 식품 선택과 조리법에 대한 영양교육, 음식과 식재료 바우처 제공, 지역사회 공동식당 운영 등 다양한 정책적인 지원 중 어떤 방법이 실제적인 도움될 지는 향후 연구가 필요한 부분이다.
Fig. 1.
Fig. 2.
Table 1.
|
Male |
Female |
|||||||||
|---|---|---|---|---|---|---|---|---|---|---|
| LA | LP | LO | Total | P | LA | LP | LO | Total | P | |
| Unweighted number of subjects | 249 | 1,521 | 59 | 1,829 | 791 | 1152 | 488 | 2,431 | ||
| Weighted proportion | 11.8 (0.9) | 84.0 (1.0) | 4.2 (0.6) | 25.8 (1.1) | 49.2 (1.3) | 28.0 (1.3) | ||||
| Age, y | 73.5 (0.4)a | 72.6 (0.1) | 75.1 (0.8)a | 72.8 (0.1) | 74.8 (0.2)b | 70.9 (0.2) | 74.9 (0.3)b | 73.0 (0.1) | ||
| Body mass index, kg/m2 | 23.3 (0.2) | 23.7 (0.1) | 23.9 (0.4) | 23.7 (0.1) | 24.7 (0.1)a | 24.3 (0.1) | 24.4 (0.2) | 24.4 (0.1) | ||
| Household income | <0.001 | <0.001 | ||||||||
| Lower | 65.4 (3.8) | 35.7 (1.5) | 45.6 (7.6) | 39.7 (1.5) | 79.8 (1.6) | 40.9 (1.9) | 40.3 (2.8) | 50.8 (1.5) | ||
| Middle lower | 21.5 (3.2) | 31.4 (1.4) | 17.7 (5.3) | 29.7 (1.2) | 15.5 (1.4) | 30.1 (1.5) | 24.4 (2.2) | 24.8 (1.0) | ||
| Middle upper | 7.5 (2.0) | 18.8 (1.2) | 23.8 (6.1) | 17.7 (1.0) | 2.9 (0.7) | 16.2 (1.3) | 20.6 (2.2) | 14.0 (0.9) | ||
| Upper | 5.6 (1.7) | 14.0 (1.3) | 13.0 (5.6) | 12.9 (1.2) | 1.8 (0.6) | 12.8 (1.4) | 14.7 (2.0) | 10.5 (0.9) | ||
| Education, y | 0.039 | <0.001 | ||||||||
| ≤9 | 60.3 (3.7) | 51.8 (1.5) | 58.8 (7.7) | 53.1 (1.4) | 82.5 (1.5) | 72.7 (1.8) | 80.7 (2.2) | 77.5 (1.2) | ||
| 10-15 | 25.7 (3.2) | 29.7 (1.3) | 34.6 (7.6) | 29.5 (1.2) | 13.6 (1.4) | 19.8 (1.5) | 16.6 (2.2) | 17.3 (1.0) | ||
| ≥16 | 14.0 (2.4) | 18.5 (1.3) | 6.5 (3.1) | 17.5 (1.2) | 3.8 (0.9) | 7.5 (1.1) | 2.6 (0.7) | 5.2 (0.6) | ||
| Urban dwelling (vs. rural) | 78.9 (3.5) | 79.8 (2.2) | 74.5 (6.8) | 79.5 (2.2) | 0.559 | 72.3 (2.9) | 80.6 (2.2) | 79.5 (3.1) | 78.1 (2.1) | 0.016 |
| Smoker (vs. nonsmoker) | 28.0 (3.3) | 15.8 (1.1) | 11.9 (5.3) | 17.1 (1.1) | 0.002 | 2.4 (0.6) | 1.4 (0.4) | 3.1 (1.4) | 2.1 (0.50) | 0.199 |
| Alcohol consumption frequency per week | 0.422 | 0.155 | ||||||||
| 0 | 45.9 (3.3) | 41.1 (1.5) | 39.8 (7.5) | 33.6 (1.3) | 33.5 (1.9) | 36.5 (1.7) | 34.2 (2.4) | 63.2 (1.2) | ||
| 1 | 23.8 (3.0) | 27.6 (1.3) | 21.4 (5.8) | 34.3 (1.3) | 22.7 (1.6) | 24.4 (1.4) | 24.5 (2.4) | 32.5 (1.2) | ||
| ≥2 | 30.3 (3.2) | 31.3 (1.4) | 38.9 (7.7) | 32.1 (1.3) | 43.8 (1.9) | 39.2 (1.6) | 41.3 (2.6) | 4.3 (0.4) | ||
| Aerobic exercise doerc (vs. non-doer) | 34.1 (3.5) | 35.5 (1.5) | 27.4 (6.6) | 35.0 (1.4) | 0.455 | 24.2 (1.7) | 27.7 (1.6) | 24.8 (2.3) | 26.0 (1.1) | 0.310 |
| Having chronic diseasesd | 44.5 (3.4) | 40.5 (1.5) | 45.7 (7.7) | 41.2 (1.4) | 0.499 | 46.6 (1.9) | 40.3 (1.8) | 39.5 (2.7) | 41.7 (1.2) | 0.055 |
| Total energy intake, kcal/day | 1,917.96 (59.481) | 1,912.6 (22.)3 | 1,741.5 (118.7) | 1,906.1 (21.4) | 1,369.6 (25.1)a | 1,557.7 (25.2) | 1,343.8 (26.0)a | 1,449.3 (15.6) | ||
Values are presented as mean (standard error) or proportion (standard error).
Differences between groups were tested using general linear modelling analysis for continuous variable and chi-square tests for categorical variable.
Abbreviations: LA, live alone; LO, live with other(s) without a partner; LP, live with a partner with or without other(s).
aSignificantly different from the group of living with a partner with or without other(s) at P<0.05 for continuous variable.
Table 2.
|
Male |
Female |
||||||
|---|---|---|---|---|---|---|---|
| LA | LP | LO | LA | LP | LO | ||
| Unweighted number of subjects | 249 | 1,521 | 59 | 791 | 1,152 | 488 | |
| Weighted proportion | 11.8 (0.9) | 84.0 (1.0) | 4.2(0.6) | 25.8 (1.1) | 49.2 (1.3) | 28.0 (1.3) | |
| KHEI (0-100) | 64.5 (1.0)a | 66.9 (0.6) | 63.5 (1.7)a | 68.6 (1.2) | 68.6 (1.2) | 65.1 (1.2)b | |
| Adequacy index | |||||||
| Breakfast (0-10) | 9.2 (0.1)a | 9.6 (0.1) | 8.8 (0.3)a | 9.3 (0.2)a | 9.6 (0.2) | 9.0 (0.2)b | |
| Whole grains (0-5) | 2.1 (0.2)b | 2.8 (0.1) | 2.5 (0.4) | 2.1 (0.2) | 2.2 (0.2) | 2.1 (0.2) | |
| Total fruit, including juice (0-5) | 2.2 (0.2) | 2.5 (0.1) | 2.3 (0.3) | 2.6 (0.2) | 2.8 (0.2) | 2.3 (0.2)a | |
| Fruit, excluding juice (0-5) | 2.3 (0.2) | 2.6 (0.1) | 2.3 (0.4) | 2.4 (0.2) | 2.6 (0.2) | 2.2 (0.2)a | |
| Total vegetable, including Kimchi and pickles (0-5) | 3.8 (0.1) | 3.7 (0.1) | 3.7 (0.2) | 3.4 (0.2)a | 3.6 (0.2) | 3.3 (0.2)a | |
| Vegetable, excluding Kimchi and pickles (0-5) | 3.2 (0.1) | 3.3 (0.1) | 3.0 (0.3) | 3.3 (0.2) | 3.4 (0.2) | 3.1 (0.2)a | |
| Meat, fish, eggs, and beans (0-10) | 6.7 (0.3) | 7.0 (0.2) | 6.9 (0.6) | 7.4 (0.3) | 7.4 (0.3) | 6.9 (0.3)a | |
| Milk and dairy (0-10) | 2.6 (0.3) | 2.3 (0.2) | 1.7 (0.5) | 4.0 (0.4)a | 3.3 (0.4) | 2.8 (0.4) | |
| Subtotal (0-55) | 32.1 (0.9)a | 33.7 (0.5) | 31.2 (1.6) | 34.4 (0.9) | 34.8 (0.9) | 31.5 (0.8)b | |
| Moderation index | |||||||
| Saturated fatty acid (0-10) | 8.5 (0.2)a | 8.9 (0.1) | 9.0 (0.3) | 8.5 (0.3)a | 8.8 (0.3) | 8.8 (0.3) | |
| Sodium (0-10) | 6.7 (0.3) | 6.8 (0.2) | 7.0 (0.5) | 8.5 (0.2) | 8.3 (0.2) | 8.5 (0.2) | |
| Empty calorie foods (0-10) | 8.8 (0.2)a | 9.3 (0.1) | 8.6 (0.5) | 8.6 (0.3) | 8.8 (0.3) | 8.7 (0.3) | |
| Subtotal (0-30) | 24.0 (0.4)a | 25.0 (0.2) | 24.6 (0.6) | 25.5 (0.5) | 25.8 (0.4) | 25.9 (0.5) | |
| Balance of energy intake index | |||||||
| Carbohydrate (0-5) | 2.2 (0.2) | 2.1 (0.1) | 2.2 (0.3) | 2.1 (0.2) | 2.1 (0.2) | 2.0 (0.2) | |
| Fat (0-5) | 3.0 (0.2) | 2.9 (0.1) | 2.7 (0.3) | 3.1 (0.2) | 3.0 (0.2) | 2.8 (0.2) | |
| Total energy (0-5) | 3.2 (0.2) | 3.2 (0.1) | 2.7 (0.4) | 2.8 (0.2) | 2.9 (0.2) | 2.9 (0.2) | |
| Subtotal (0-15) | 8.4 (0.4) | 8.2 (0.2) | 7.7 (0.8) | 7.9 (0.5) | 8.0 (0.4) | 7.7 (0.4) | |
Values are presented as means (standard error).
Numbers in the parenthesis of the first column are the score range of each item. Adjusted means were estimated with the general linear modellings adjusted for age (continuous), household income level (lower, middle lower, middle upper, and upper) and educational attainment (≤9, 10-15, and ≥16), locality of dwelling (rural or urban), current smoking status (yes or no), alcohol intake frequency per week (0, 1, and ≥2), aerobic exercise doer (higher than 600 MET-min/week, yes or no), and having chronic diseases (yes or no). Chronic diseases included stroke, myocardial infarction, diabetes, depression, chronic kidney disease, liver cirrhosis, and all types of cancer.
Abbreviations: KHEI, Korean Healthy Eating Index; LA, live alone; LO, live with other(s) without a partner; LP, live with a partner with or without other(s); MET, metabolic equivalent task.
Table 3.
| LA | P | LP | LO | P | ||
|---|---|---|---|---|---|---|
| Male | ||||||
| Poor dietary quality | 20.6 (2.7) | 7.3 (0.8) | 8.9 (3.6) | |||
| Model 1a | 3.28 (1.83-3.84) | <0.001 | Reference | 1.25 (0.52-3.02) | 0.616 | |
| Model 2b | 2.65 (1.83-3.84) | <0.001 | Reference | 1.25 (0.52-3.00) | 0.621 | |
| Model 3c | 2.43 (1.65-3.57) | <0.001 | Reference | 1.26 (0.51-3.14) | 0.617 | |
| Model 4d | 2.45 (1.66-3.60) | <0.001 | Reference | 1.27 (0.51-3.16) | 0.614 | |
| Female | ||||||
| Poor dietary quality | 9.6 (1.2) | 5.7 (0.8) | 12.9 (1.8) | |||
| Model 1a | 1.33 (0.92-1.94) | 0.134 | Reference | 1.86 (1.14-3.02) | 0.013 | |
| Model 2b | 1.11 (0.76-1.62) | 0.592 | Reference | 2.01 (1.22-3.29) | 0.006 | |
| Model 3c | 1.11 (0.76-1.62) | 0.592 | Reference | 1.95 (1.18-3.24) | 0.009 | |
| Model 4d | 1.10 (0.75-1.60) | 0.630 | Reference | 1.98 (1.19-3.28) | 0.008 | |
Values are presented as proportion (standard error) or OR (95% CI).
ORs and 95% CIs were obtained from survey logistic regression analysis.
Abbreviations: CI, confidence interval; KHEI, Korean Healthy Eating Index; LA, live alone; LO, live with other(s) without a partner; LP, live with a partner with or without other(s); MET, metabolic equivalent task; OR, odds ratio.
bModel 2: model 1+further adjustment for household income level (lower, middle lower, middle upper, and upper), educational attainment (≤9, 10-15, and ≥16), and locality of dwelling (rural or urban).
- REFERENCES
- REFERENCES
- 1. Statistics Korea. Korean population and housing census 2020 [Internet]. Daejoen: Statistics Korea; 2020 [cited Dec 24, 2020]. Available from: portal/korea/kor_nw/1/2/2/index.board.2. Kharicha K, Iliffe S, Harari D, Swift C, Gillmann G, Stuck AE. Health risk appraisal in older people 1: are older people living alone an "at-risk" group? Br J Gen Pract 2007;57(537):271-6.
[PubMed] [PMC]3. Tani Y, Kondo N, Takagi D, Saito M, Hikichi H, Ojima T, et al. Combined effects of eating alone and living alone on unhealthy dietary behaviors, obesity and underweight in older Japanese adults: Results of the JAGES. Appetite 2015;95:1-8.
[Article] [PubMed]4. Shin SK, Kim HJ, Choi BY, Lee SS. A comparison of food frequency for the elderly regarding different family types - based on community health survey for 2008. Korean J Nutr 2012;45(3):264-73.
[Article]5. Locher JL, Robinson CO, Roth DL, Ritchie CS, Burgio KL. The effect of the presence of others on caloric intake in homebound older adults. J Gerontol A Biol Sci Med Sci 2005;60(11):1475-8.
[Article] [PubMed]6. Korea Institute for Health and Social Affairs. Korea welfare panel study 9th [Internet]. Sejong: Korea Institute for Health and Social Affairs; 2014 [cited Apr 3, 2015]. Available from: https://www.koweps.re.kr:442/data/data/list.do7. Fan Y, Zhang Y, Li J, Liu Y, Zhou L, Yu Y. Association between healthy eating index-2015 and physical frailty among the United States elderly adults: the national health and nutrition examination survey (NHANES) 2011-2014. Aging Clin Exp Res 2021;33(12):3245-55.
[Article] [PubMed]8. Reedy J, Lerman JL, Krebs-Smith SM, Kirkpatrick SI, Pannucci TE, Wilson MM, et al. Evaluation of the healthy eating index-2015. J Acad Nutr Diet 2018;118(9):1622-33.
[Article] [PubMed] [PMC]9. Stefler D, Pikhart H, Jankovic N, Kubinova R, Pajak A, Malyutina S, et al. Healthy diet indicator and mortality in Eastern European populations: prospective evidence from the HAPIEE cohort. Eur J Clin Nutr 2014;68(12):1346-52.
[Article] [PubMed] [PMC]10. Aoun C, Papazian T, Helou K, El Osta N, Khabbaz LR. Comparison of five international indices of adherence to the Mediterranean diet among healthy adults: similarities and differences. Nutr Res Pract 2019;13(4):333-43.
[Article] [PubMed] [PMC]11. Woodruff SJ, Hanning RM. Development and implications of a revised Canadian Healthy Eating Index (HEIC-2009). Public Health Nutr 2010;13(6):820-5.
[Article] [PubMed]12. Yook SM, Park S, Moon HK, Kim K, Shim JE, Hwang JY. Development of Korean healthy eating index for adults using the Korea national health and nutrition examination survey data. J Nutr Health 2015;48(5):419-28.
[Article]13. Tsubota-Utsugi M, Kikuya M, Satoh M, Inoue R, Hosaka M, Metoki H, et al. Living situations associated with poor dietary intake among healthy Japanese elderly: the Ohasama study. J Nutr Health Aging 2015;19(4):375-82.
[Article] [PubMed]14. Kang NY, Jung BM. Analysis of the difference in nutrients intake, dietary behaviors and food intake frequency of single- and non single-person households: the Korea national health and nutrition examination survey (KNHANES), 2014-2016. Korean J Community Nutr 2019;24(1):1-17.
[Article]15. Hanna KL, Collins PF. Relationship between living alone and food and nutrient intake. Nutr Rev 2015;73(9):594-611.
[Article] [PubMed]16. Choi YR, Park HR, Song KH, Lee Y, Lim YS. Disparities in dietary quantity and quality between the two different types of Korean family of older adults living with spouses and living alone: using data from the 6th Korea national health and nutrition examination survey. Nutr Res Pract 2020;14(3):242-51.
[Article] [PubMed] [PMC]17. Hughes G, Bennett KM, Hetherington MM. Old and alone: barriers to healthy eating in older men living on their own. Appetite 2004;43(3):269-76.
[Article] [PubMed]18. Yi YH, Kim YJ, Cho DY. Family type and health behaviors in elderly: Korean national health and nutrition examination survey (KNHANES), 2010-2012. Korean J Health Serv Manag 2014;8(4):199-207.
[Article]19. Olson CM. Tracking of food choices across the transition to motherhood. J Nutr Educ Behav 2005;37(3):129-36.
[Article] [PubMed]20. Eng PM, Kawachi I, Fitzmaurice G, Rimm EB. Effects of marital transitions on changes in dietary and other health behaviours in US male health professionals. J Epidemiol Community Health 2005;59(1):56-62.
[Article] [PubMed] [PMC]21. Davis MA, Murphy SP, Neuhaus JM, Gee L, Quiroga SS. Living arrangements affect dietary quality for U.S. adults aged 50 years and older: NHANES III 1988-1994. J Nutr 2000;130(9):2256-64.
[Article] [PubMed]22. Paik JE. The effects of grandchild care experience on psychological health for grandfather and grandmother. The Korea J Converg Society 2018;9(1):363-75.23. Lee JY, Choi SK, Seo JS. Evaluation of the nutrition status and metabolic syndrome prevalence of the members according to the number of household members based on the Korea national health and nutrition examination survey (2013-2014). Korean J Community Nutr 2019;24(3):232-44.
[Article]24. Hong SH, Kim JM. Relationship between eating behavior and healthy eating competency of single-person and multi-person households by age group. Korean J Community Nutr 2021;26(5):337-49.
[Article]25. Lee KI, Kim SH, Heo SY. In-depth analysis of food consumption in Korea [Internet]. Naju: Korea Ural Economic Institute; 2017 [cited Jun 20, 2022]. Available from: http://www.krei.re.kr/eng/researchReportView.do?key=355&biblioId=397429&pageType=010101&searchCnd= all&searchKrwd=&pageIndex=7
