Relationship of Sleep Quality, Physical Stress, Psychological Stress, and Job Stress among Residents
- So-Young Yoo, Young-Ah Choi, Young-Kyu Park, Sung-Min Cho, Kyung-Shik Lee, Ga-Young Joo, Hyun Keun Lee
- Received November 08, 2016 Accepted January 17, 2017
- ABSTRACT
-
- Background:
- The purpose of this study is to identify the relationship of sleep quality, physical stress, psychological stress, and job stress among residents and to examine correlations of sleep quality, physical stress, psychological stress, and job stress according to average of working hours per day, frequency of night duty, sleep onset time on night duty and sleeping hour on night duty.
- Methods:
- A descriptive correlation study included 164 residents working at 13 secondary and tertiary hospitals in Gyeong-gi Province who completed a self-administered structured questionnaires. The data were collected from June 1 to August 31, 2016. and analyzed through frequency, percentage, t-test, ANOVA, Scheffe's test, multiple regression analysis by SPSS program version 22.0 (IBM Corp., Chicago, IL, USA).
- Results:
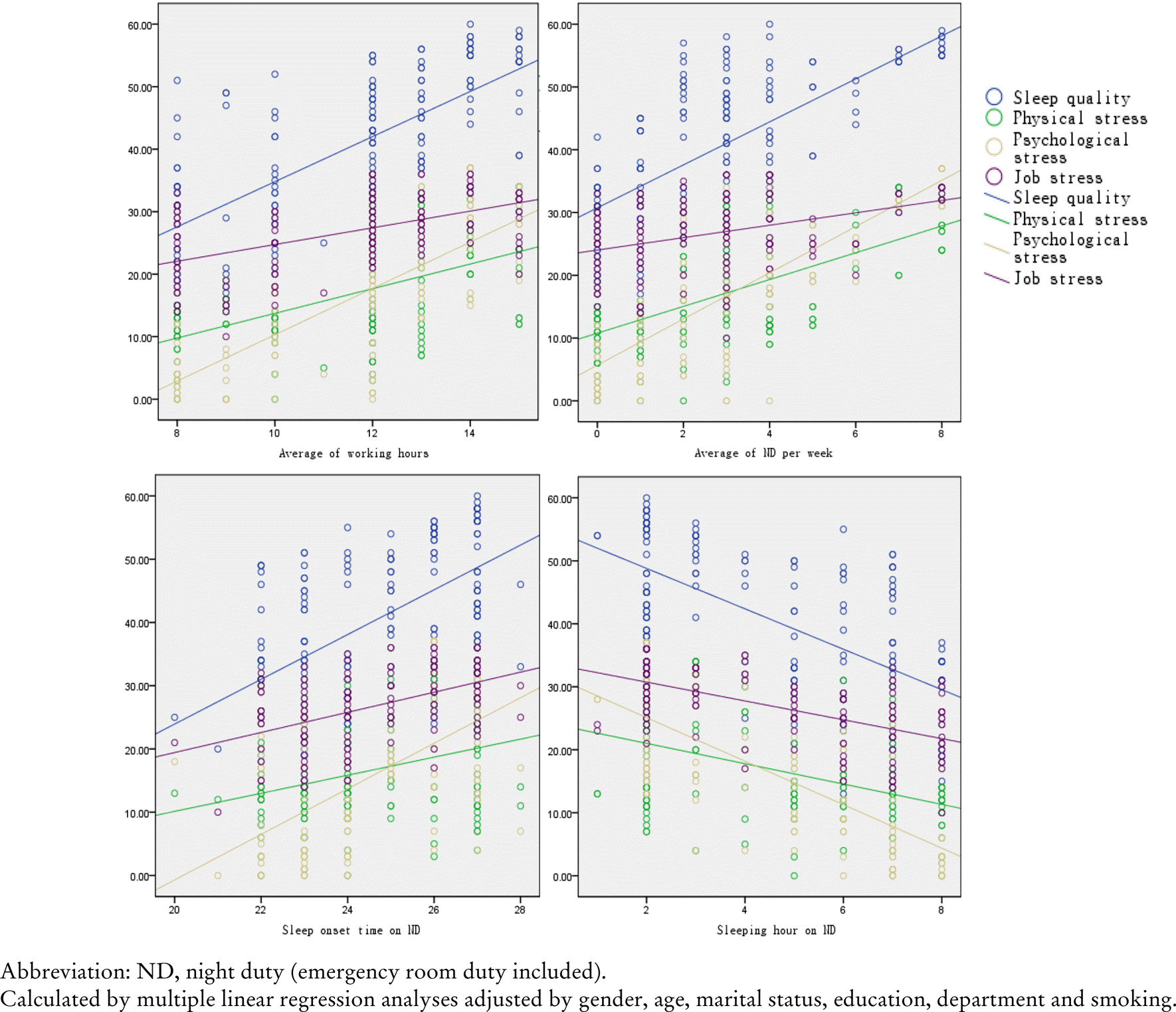
- The average level of residents’ sleep quality, physical stress, psychological stress, and job stress were 40.30, 16.74, 15.96, and 26.79, respectively. Sleep quality, physical, psychological and job stress have shown statistically significant correlations according to average of working hours per day, frequency of night duty, sleep onset time on night duty and sleeping hour on night duty. Poor sleep quality is related to higher physical, psychological and job stress.
- Conclusions:
- Residents’ average of working hours per day is long and sleeping hour on night duty is scarce. Due to this, the level of residents’ sleep quality is poor and physical, psychological and job stress are severe. Obviously, sleep quality showed a positive correlation with physical, psychological and job stress. It is necessary to develop effective program to improve the residents’ sleep quality and reduce physical, psychological and job stress.
Figure 1.
Table 1.
| Characteristics | Categories | M±SD | No. | Freq. (%) |
|---|---|---|---|---|
| Gender | Male | 85 | 51.8 | |
| Female | 79 | 48.2 | ||
| Age | 27-29 | 31.8±4.6 | 164 41 | 100.0 25.0 |
| 30-32 | 54 | 32.9 | ||
| 33-35 | 55 | 33.5 | ||
| 36-38 | 14 | 8.5 | ||
| BMIa | Underweight | 6 | 3.7 | |
| Normal | 76 | 46.3 | ||
| Overweight | 82 | 50.0 | ||
| Marital status | Single | 83 | 50.6 | |
| Married | 81 | 49.4 | ||
| Religion | Christianity | 41 | 25.0 | |
| Catholic | 32 | 19.5 | ||
| Buddhism | 11 | 6.7 | ||
| None | 80 | 48.8 | ||
| Education | Medical college | 116 | 70.7 | |
| Medical graduate school | 48 | 29.3 | ||
| Department | IM | 30 | 18.3 | |
| FM | 41 | 25.0 | ||
| PD | 18 | 11.0 | ||
| PY | 2 | 1.2 | ||
| Rad | 12 | 7.3 | ||
| DM | 11 | 6.7 | ||
| EM | 8 | 4.9 | ||
| PS | 10 | 6.1 | ||
| OS | 10 | 6.1 | ||
| ENT | 11 | 6.7 | ||
| EYE | 11 | 6.7 | ||
| Resident grade | 1 | 74 | 45.1 | |
| 2 | 33 | 20.1 | ||
| 3 | 40 | 24.4 | ||
| 4 | 17 | 10.4 | ||
| Smoking | Non-smoker | 134 | 81.7 | |
| Smoker | 30 | 18.3 | ||
| Socioeconomic satisfaction | High | 88 | 53.7 | |
| Moderate | 73 | 44.5 | ||
| Low | 3 | 1.8 | ||
| Frequency of exercise (per week) | 0 | 45 | 27.4 | |
| 1 | 41 | 25.0 | ||
| 2 | 56 | 34.1 | ||
| 3 | 18 | 11.0 | ||
| Over 4 | 4 | 2.4 | ||
| Frequency of drink (per week) | 0 | 17 | 10.4 | |
| 1 | 41 | 25.0 | ||
| 2 | 45 | 27.4 | ||
| 3 | 47 | 28.7 | ||
| Over 4 | 14 | 8.5 | ||
| Frequency of caffeine intake (per day) | 1 | 15 | 9.1 | |
| 2 | 51 | 31.1 | ||
| 3 | 47 | 28.7 | ||
| Over 4 | 51 | 31.1 | ||
| Average of working hours (per day) | 11.52±2.27 | 164 | 100.0 | |
| <10 | 38 | 23.2 | ||
| 10-12 | 68 | 41.5 | ||
| >12 | 58 | 35.4 | ||
| Frequency of NDb (day per week) | 0-1 | 56 | 34.1 | |
| 2-3 | 57 | 34.8 | ||
| 4-5 | 29 | 17.7 | ||
| 6- | 22 | 13.4 | ||
| Sleep onset timec on NDb | <22 | 3 | 1.8 | |
| 22-23 | 55 | 33.5 | ||
| 24-25 | 43 | 26.2 | ||
| 26-27 | 61 | 37.2 | ||
| 28- | 2 | 1.2 | ||
| Sleeping hour on NDb (per day) | 1-2 | 53 | 32.3 | |
| 3-4 | 23 | 14.0 | ||
| 5-6 | 39 | 23.8 | ||
| 7-8 | 49 | 29.9 |
Abbreviations: M, mean; SD, standard deviation; No., number; Freq., frequency; BMI, body mass index; IM, internal medicine; FM, family medicine; PD, pediatrics; PY, psychiatrics; Rad, radiology; DM, dermatology; EM, emergency medicine; PS, plastic surgery; OS, orthopedic surgery; ENT, otorhinolaryngology; EYE, ophthalmology; ND, night duty. Values are presented as mean±standard deviation, number or frequency (%).
Table 2.
Table 3.
| Characteristics | Categories | M±SD | t or F | P | Scheffe |
|---|---|---|---|---|---|
| Gender | Male | 40.15±5.79 | -0.169 | 0.866d | |
| Female | 40.47±4.92 | ||||
| Age | 27-29 | 49.22±6.36 | 1.532 | 0.308e | |
| 30-32 | 39.63±3.60 | ||||
| 33-35 | 36.58±4.25 | ||||
| 36-38 | 31.43±5.85 | ||||
| BMIa | Underweight | 43.67±5.36 | 0.280 | 0.756e | |
| Normal | 40.42±4.14 | ||||
| Overweight | 39.95±3.12 | ||||
| Marital status | Single | 40.34±4.68 | 0.035 | 0.972d | |
| Married | 40.27±5.06 | ||||
| Religion | Christianity | 32.98±4.07 | 0.208 | 0.984e | |
| Catholic | 41.75±4.85 | ||||
| Buddhism | 53.18±3.74 | ||||
| None | 41.71±5.24 | ||||
| Education | Medical college | 40.28±4.27 | -0.051 | 0.959d | |
| Medical graduate school | 40.38±3.84 | ||||
| Department | IM | 42.10±5.85 | 2.126 | 0.026e | - |
| FM PD | 39.20±3.54 35.33±3.58 | ||||
| PY | 41.50±3.19 | ||||
| Rad | 33.75±4.87 | ||||
| DM | 35.64±5.05 | ||||
| EM | 37.25±4.29 | ||||
| PS | 47.60±5.90 | ||||
| OS | 45.90±4.61 | ||||
| ENT | 44.10±2.48 | ||||
| EYE a | 46.00±2.39 | e | |||
| Resident grade | 1a | 47.08±4.59 | 35.063 < | <0.001 | e a, b>c, d |
| 2b | 41.88±5.89 | ||||
| 3c | 31.83±3.32 | ||||
| 4d | 27.71±5.10 | ||||
| Smoking | Non-smoker | 39.23±4.93 | -2.494 | 0.014d | |
| Smoker | 45.10±3.24 | e | |||
| Socioeconomic satisfaction | High Moderate | 36.90±2.09 44.79±4.20 | 0.039 | 0.401e | |
| Low | 31.00±4.00 | ||||
| Frequency of exercise (per week) | 0a | 48.44±4.80 | 12.021 < | <0.001 | e a>d |
| 1b | 39.63±5.10 | ||||
| 2c | 37.86±2.37 | ||||
| 3d | 30.06±3.48 | ||||
| Over 4e | 36.00±3.79 | ||||
| Frequency of drink (per week) | 0a | 38.29±4.85 | 6.638 < | <0.001 | e c>d, e |
| 1b | 39.93±4.40 | ||||
| 2c | 47.11±5.27 | ||||
| 3d | 36.47±5.29 | ||||
| Over 4e | 34.86±4.29 | ||||
| Frequency of caffeine intake (per day) | 1a | 34.93±4.69 | 4.264 | 0.006e | d>a |
| 2b | 37.84±4.67 | ||||
| 3c | 40.02±3.09 | ||||
| Over 4d | 44.61±3.93 | ||||
| Average of working hours (per day) Average of NDb (day per week) | <10a | 29.87±3.06 | 62.699 < | <0.001 | e c>b>a |
| 10-12b | 37.87±4.60 | ||||
| >12c | 50.00±4.14 | ||||
| 0-1a | 30.04±3.89 | 50.462 < | <0.001 | e d>b, c>a | |
| 2-3b | 43.33±4.80 | ||||
| 4-5c | 43.48±4.32 | ||||
| Over 6d | 54.41±5.79 | ||||
| Sleep onset timec on NDb | <22a 22-23b | 26.33±3.09 34.18±3.17 | 18.999 < | <0.001 | e d>a |
| 24-25c | 37.21±4.93 | ||||
| 26-27d | 48.72±4.81 | ||||
| Over 28e | 39.50±4.19 | ||||
| Sleeping hour on NDb (per day) | 1-2a 3-4b 5-6c | 48.15±5.63 47.91±4.00 34.72±4.39 | 32.541 < | <0.001 | e a, b>c, d |
| 7-8d | 32.69±3.99 |
Abbreviations: M, mean; SD, standard deviation; No., number; Freq., frequency; BMI, body mass index; IM, internal medicine; FM, family medicine; PD, pediatrics; PY, psychiatrics; Rad, radiology; DM, dermatology; EM, emergency medicine; PS, plastic surgery; OS, orthopedic surgery; ENT, otorhinolaryngology; EYE, ophthalmology; ND, night duty. Values are presented as mean±standard deviation and P value.
Table 4.
| Characteristics | Categories | Physical stress | Psychological stress | Job stress | |||||||||
|---|---|---|---|---|---|---|---|---|---|---|---|---|---|
| M±SD | t or F | P | Scheffef | M±SD | t or F | P | Scheffef | M±SD | t or F | P | Scheffef | ||
| Gender | Male | 15.38±2.29 | -2.225 | 0.027d | 16.54±1.93 | 0.710 | 0.479d | 26.88±2.89 | 0.219 | 0.827d | |||
| Female | 18.22±2.02 | 15.34±1.67 | 26.68±2.73 | ||||||||||
| Age | 27-29 | 21.93±2.51 | 0.712 | 0.141e | 23.66±2.57 | 0.997 | 0.493e | 29.59±3.70 | 0.717 | 0.965e | |||
| 30-32 | 17.39±2.55 | 14.63±1.27 | 25.48±2.88 | ||||||||||
| 33-35 | 13.85±2.12 | 13.87±1.92 | 26.24±2.15 | ||||||||||
| 36-38 | 10.43±3.04 | 6.79±1.35 | 25.79±3.48 | ||||||||||
| BMIa | Underweight | 24.83±3.93 | 0.327 | 0.056e | 21.50±2.53 | 1.096 | 0.337e | 31.33±2.88 | 1.949 | 0.146e | |||
| Normal | 17.20±1.87 | 15.10±1.85 | 26.57±2.75 | ||||||||||
| Overweight | 15.73±2.23 | 16.37±1.24 | 26.66±3.35 | ||||||||||
| Marital status | Single | 17.18±2.46 | 0.683 | 0.496d | 16.61±1.78 | 0.780 | 0.437d | 26.20±3.59 | -1.305 | 0.194d | |||
| Married | 16.30±2.04 | 15.30±1.75 | 27.38±3.96 | ||||||||||
| Religion | Christianity | 11.56±1.04 | 0.349 | 0.060e | 10.05±0.80 | 0.910 | 0.079e | 26.10±2.81 | 1.268 | 0.287e | |||
| Catholic | 18.31±2.47 | 16.16±1.27 | 26.38±2.67 | ||||||||||
| Buddhism | 23.73±3.76 | 26.27±2.88 | 29.81±1.27 | ||||||||||
| None | 17.81±2.12 | 17.50±1.92 | 26.89±2.29 | ||||||||||
| Education | Medical college | 16.97±2.25 | 0.554 | 0.581d | 15.18±1.69 | -1.449 | 0.149d | 26.62±3.17 | -0.569 | 0.570d | |||
| Medical graduate school | 16.19±1.34 | 17.85±1.91 | 27.19±3.87 | ||||||||||
| Department | IMa | 19.70±2.26 | 1.219 | 0.283e | 17.30±2.85 | 3.961 | <0.001e | e - | 30.97±4.03 | 13.460 | <0.001e | e a>b | |
| FM | 15.24±1.04 | 14.71±1.48 | 26.80±3.80 | ||||||||||
| PD | 14.56±1.34 | 12.67±2.27 | 24.72±2.17 | ||||||||||
| PY | 19.00±2.24 | 22.50±2.54 | 25.50±2.95 | ||||||||||
| Radb | 14.58±2.19 | 3.25±0.84 | 15.33±2.35 | ||||||||||
| DM | 16.64±2.66 | 11.91±1.72 | 23.45±2.94 | ||||||||||
| EM | 12.13±1.73 | 18.50±2.45 | 25.38±3.00 | ||||||||||
| PS | 19.00±2.17 | 22.20±3.38 | 29.60±4.14 | ||||||||||
| OS | 17.90±1.38 | 22.10±3.24 | 28.50±4.88 | ||||||||||
| ENT | 17.64±1.81 | 21.55±2.76 | 29.27±3.82 | ||||||||||
| EYE | 19.27±2.12 | 20.45±2.21 | 29.18±3.14 | ||||||||||
| Resident grade | 1a | 20.45±3.52 | 19.417 | <0.001e | e a, b>c, d | 22.76±1.54 | 51.927 | 0.011e | a, b>c, d | 28.62±3.55 | 8.336 | <0.001e | e a>c, d |
| 2b | 18.33±3.36 | 17.91±2.43 | 27.39±3.17 | b>d | |||||||||
| 3c | 10.88±2.44 | 7.18±0.92 | 24.73±2.35 | ||||||||||
| 4d | 11.35±1.10 | 3.29±0.80 | 22.53±2.84 | ||||||||||
| Smoking | Non-smoker | 15.72±2.85 | -3.479 | <0.001d | d | 14.42±2.46 | -4.057 | <0.001d | d | 26.16±3.76 | -2.980 | 0.003d | |
| Smoker | 21.33±2.63 | 22.87±1.57 | 29.57±3.12 | ||||||||||
| Socioeconomic satisfaction | High Moderate | 14.72±1.79 19.51±1.11 | 0.825 | 0.101e | 12.64±1.36 20.18±2.03 | 1.353 | 0.851e | 20.16±2.62 24.21±2.73 | 32.569 | 0.006e | c>a, b | ||
| Low | 9.00±1.90 | 11.00±1.29 | 30.67±3.14 | ||||||||||
| Frequency of exercise (per week) | 0a 1b 2c | 21.31±2.13 17.24±2.84 14.00±2.12 | 7.021 | <0.001e | - e | 23.29±2.44 16.27±1.84 12.95±1.55 | 13.018 | <0.001e | a>d e | 28.98±3.62 27.15±2.57 26.63±3.85 | 7.458 | <0.001e | e a>d |
| 3d | 12.67±2.31 | 6.11±0.94 | 20.83±2.95 | ||||||||||
| Over 4e | 17.00±1.89 | 17.00±1.85 | 27.50±3.26 | ||||||||||
| Frequency of drink (per week) | 0a 1b 2c | 16.12±1.89 17.29±2.12 21.64±2.18 | 0.168 | 0.638e | 14.06±1.89 18.32±1.94 19.49±2.14 | 1.132 | 0.303e | 29.29±3.15 27.07±3.98 28.16±3.06 | 1.274 | 0.113e | |||
| 3d | 13.28±1.05 | 11.53±1.99 | 24.94±2.78 | ||||||||||
| Over 4e | 11.79±1.83 | 14.93±1.78 | 24.71±2.39 | ||||||||||
| Frequency of caffeine intake (per day) | 1a 2b 3c | 10.67±1.85 14.73±2.77 16.11±2.42 | 0.058 | 0.051e | 12.80±1.59 14.10±1.86 14.74±1.37 | 3.540 | 0.016e | - | 25.27±1.85 26.25±2.72 26.55±3.42 | 1.242 | 0.296e | ||
| Over 4d | 21.14±3.90 | 19.88±2.10 | 27.98±3.12 | ||||||||||
| Average of working hours (per day) | <10a | 12.32±2.65 | 37.784 | <0.001e | e c>a, b | 3.79±0.66 | 125.789 | <0.001e | e c>b>a | 22.03±2.23 | 29.750 | <0.001 | e c>b>a |
| 10-12b | 13.90±2.13 | 14.28±1.96 | 26.68±3.00 | ||||||||||
| >12c | 23.00±2.03 | 25.91±2.29 | 30.03±3.92 | ||||||||||
| Average of NDb (day per week) | 0-1a | 10.96±2.34 | 40.376 | <0.001e | e d>b, c>a | 5.88±0.91 | 89.198 | <0.001e | e d>b, c>a | 23.95±4.44 | 10.979 | <0.001 | e d>a, b |
| 2-3b | 18.46±3.18 | 17.18±2.47 | 27.26±3.92 | c>a | |||||||||
| 4-5c | 19.07±2.29 | 21.34±2.75 | 28.00±3.71 | ||||||||||
| Over 6d | 27.91±3.78 | 31.41±3.79 | 31.18±4.89 | ||||||||||
| Sleep onset timec on NDb | <22a b | 11.67±1.03 | 7.166 | <0.001e | e - | 8.00±1.27 | 31.252 | <0.001e | e d>a, b | 19.00±2.19 | 14.283 | <0.001 | e e>a |
| 22-23b | 13.29±1.77 | 8.69±1.28 | 23.76±2.19 | ||||||||||
| 24-25c | 16.21±1.21 | 13.28±1.19 | 26.21±2.51 | ||||||||||
| 26-27d | 20.62±2.52 | 21.93±2.74 | 27.28±3.36 | ||||||||||
| Over 28e | 22.50±3.12 | 22.00±2.67 | 30.50±3.54 | ||||||||||
| Sleeping hour on NDb (per day) | 1-2a | 24.02±2.15 | 20.577 | <0.001e | e a, b>c, d | 24.85±1.96 | 63.177 | <0.001e | e a, b>c>d | 30.74±4.03 | 31.420 | <0.001 | e a, b>c, d |
| 3-4b | 24.00±2.56 | 21.70±2.95 | 29.87±3.72 | ||||||||||
| 5-6c | 12.97±2.39 | 13.28±2.01 | 24.72±2.15 | ||||||||||
| 7-8d | 12.80±1.51 | 5.80±0.63 | 22.71±1.48 | ||||||||||
Abbreviations: M, mean; SD, standard deviation; BMI, body mass index; IM, internal medicine; FM, family medicine; PD, pediatrics; PY, psychiatrics; Rad, radiology; DM, dermatology; EM, emergency medicine; PS, plastic surgery; OS, orthopedic surgery; ENT, otorhinolaryngology; EYE, ophthalmology; ND, night duty. Values are presented as mean±standard deviation and P value.
Table 5.
Table 6.
Abbreviations: ND, night duty (emergency room duty included); β, standardized regression coefficient; SE, standard error. Values are presented as standardized regression coefficient, standard error and P value. Calculated by multiple linear regression analyses adjusted by gender, age, marital status, education, department and smoking.
- REFERENCES
- REFERENCES
- 1.. Lazarus RS, Folkman S. Stress, appraisal and coping. 1st edition.. New York: Springer publishing company; 1984.2.. Han KS, Lim HS, Park YH, Choi MY, Cha SK, Lee EM. Factors influencing job stress of health care providers. Korean J Stress Res 2012;20:209-20.3.. Lee SM. The effect of job characteristics and personal factors on work stress, job satisfaction and turnover intention. J Nurs Acad Soc 1995;25(4):790-806.
[Article]4.. Kim JK, Kim YJ, Seo KS, Ryoo HW, Kam S, Park JY, et al. Job stress, job satisfaction and occupational commitment among Korean emergency physicians. J Korean Soc Emerg Med 2010;21(2):246-58.5.. Kang YS, Kam S, Lee SW, Chun BY, Yeh MH. Job stress and its related factors in south Korean doctors. Korean J Prev Med 2001;34(2):141-8.6.. Linzer M, Gerrity M, Douglas JA, McMurray JE, Williams ES, Konrad TR. Physician stress: results from the physician work-life study. Stress Health 2002;18(1):37-42.
[Article]7.. Kang MK, Kang YS, Kim JR, Jeong BG, Park KS, Kam S, et al. The levels of psychosocial stress, job stress and related factors of medical doctors practicing at local clinics. J Prev Med Public Health 2007;40(2):177-84.
[Article] [PubMed]8.. Lee NS. Effects of stress and working conditions on job satisfaction of residents [dissertation]. Seoul: Yonsei University; 2011. Korean..9.. Choi JH. How working hours relate to stress and fatigue of medical residents [dissertation]. Seoul: Seoul National University; 2016. Korean..10.. Baldwin DC Jr, Daugherty SR. Sleep deprivation and fatigue in residency training: results of a national survey of first- and second-year residents. Sleep 2004;27(2):217-23.
[Article] [PubMed]11.. Kim HJ, Kim JH, Park KD, Choi KG, Lee HW. A survey of sleep deprivation patterns and their effects on cognitive functions of residents and interns in Korea. Sleep Med 2011;12(4):390-6.
[Article] [PubMed]12.. Arnedt JT, Owens J, Crouch M, Stahl J, Carskadon MA. Neurobehavioral performance of residents after heavy night call vs after alcohol ingestion. JAMA 2005;294(9):1025-33.
[Article] [PubMed]13.. Kowalenko T, Haas-Kowalenko J, Rabinovich A, Grzybowski M. Emergency medicine residency related MVCs—is sleep deprivation a risk factor? Acad Emerg Med 2000;7(5):451.14.. Yi H, Shin K, Shin C. Development of the sleep quality scale. J Sleep Res 2006;15(3):309-16.
[Article] [PubMed]15.. Kim HJ. Comparison of the level of marital intimacy according to the level of stress among middle-aged women. J Korean Soc Matern Child Health 2001;5(1):123-36.16.. McCue JD. The distress of internship. Causes and prevention. N Engl J Med 1985;312(7):449-52.
[Article] [PubMed]17.. Kang YS, Kam S, Yeh MH. Interns' resident's professional job perception and its effect to their job satisfaction. Korean J Prev Med 1997;30(1):209-28.18.. Jeong MS. The relationship between Job stress, quality of sleep and stress response among shift nurses [disseration]. Busan: Kosin University; 2013. Korean..19.. Park H, Jung HS. Health behaviors by job stress level in large-sized company with male and female workers. J Korean Acad Nurs 2010;40(6):852-62.
[Article] [PubMed]20.. Yoon SH, Bae JY, Lee SW, An KE, Kim SE. The effects of job stress on depression, drinking and smoking among Korean men. Health Soc Sci 2006;19:31-50.21.. Wetzel CM, George A, Hanna GB, Athanasiou T, Black SA, Kneebone RL, et al. Stress management training for surgeons-a randomized, controlled, intervention study. Ann Surg 2011;253(3):488-94.
[Article] [PubMed]22.. Moon TY, Heo CU. Impact of participation in sport for all on leisure satisfaction, psychological wellbeing and subjective wellbeing. J Korea Acad Industr Coop Soc 2011;12(9):3984-93.
[Article]23.. Morey MC, Pieper CF, Crowley GM, Sullivan RJ, Puglisi CM. Exercise adherence and 10-year mortality in chronically ill older adults. J Am Geriatr Soc 2002;50(12):1929-33.
[Article] [PubMed]24.. Roth C. How to protect the aging work force [Internet]. Cleveland: EHS Today; 2005. [Accessed Feb 18, 2005]. Available from:. http://ehstoday.com/health/ergonomics/ehs_imp_37440.25.. Chan MF. Factors associated with perceived sleep quality of nurses working on rotating shifts. J Clin Nurs 2009;18(2):285-93.
[Article] [PubMed]26.. Edéll-Gustafsson UM M. Sleep quality and responses to insufficient sleep in women on different work shifts. J Clin Nurs 2002;11(2):280-7. discussion 288..
[Article] [PubMed]27.. Kim HC, Kwon KS, Koh DH, Leem JH, Park SG, Shin JY, et al. The relationship between job stress and psychosocial stress among nurses at a university hospital. Korean J Occup Environ Med 2006;18(1):25-34.
[Article]28.. Akerstedt T, Fredlund P, Gillberg M, Jansson B. Work load and work hours in relation to disturbed sleep and fatigue in a large representative sample. J Psychosom Res 2002;53(1):585-8.
[Article] [PubMed]29.. Kim YS, Park JY, Park SY. Relationship between job stress and work-related musculo-skeletal symptoms among hospital nurses. J Muscle Jt Health 2009;16(1):13-25.
