식생활 라이프 스타일에 따른 청년 1인 가구의 식습관 및 식행동 비교
Comparison of Eating Habits and Behaviors of Young Single-Person Households based on Food-Related Lifestyle
Article information
Abstract
연구배경
최근 우리나라는 청년 실업과 결혼관 변화 등 다양한 이유로 1인 가구의 수가 빠르게 증가하고 있으나, 다른 연령대에 비해 식생활이 불량할 것으로 보이는 청년 1인 가구 대상의 연구는 미흡한 실정이다.
방법
국내 20대와 30대 성인 1인 가구를 대상으로 설문조사를 실시하여 식생활 라이프 스타일에 따라 분류한 후, 각 유형별 일반적 사항, 건강행태, 식습관 평가 및 식품 구매․조리․식사행태 등을 비교하였다.
결과
경제형은 가장 높은 식습관 점수를 보였으며, 외식 빈도는 낮고 조리빈도가 높으므로 영양가 높은 식품으로 구성된 요리 강좌를 제공하는 것이 필요하고, 건강형은 남성의 비율이 높고 가격을 고려해 식품을 구매하므로 건강한 간편식을 개발하여 제공할 필요가 있고, 미식형은 배달 및 외식을 자주 하고 맛을 고려해 식품을 구매하므로 맛과 영양을 갖춘 메뉴 개발이 필요하다. 편의형은 과식 비율이 높고 식습관 평가점수는 낮으므로 건강식 메뉴 개발과 함께 식생활 지원이 필요하며, 안전형은 식습관 평가점수가 가장 낮고, 서비스업 종사와 고등학교 졸업 이하의 비율이 높으므로 전반적인 식생활 개선을 위해 적극적인 정책적 지원이 필요하다.
결론
본 연구 결과 청년 1인 가구는 식생활 라이프 스타일에 따라 식생활 문제점에 차이를 보이는 것으로 나타나 향후 각 유형별 특징을 고려한 맞춤형 식생활 교육이 필요할 것으로 보인다.
Trans Abstract
Background
This study aimed to investigate the dietary habit problems related to lifestyle by analyzing health behaviors and dietary habits in Korean young adults.
Methods
Adults aged 20≥ and ≥39 years single-person households who participated in the survey were included in the study. Subjects were classified into food related lifestyle. Subsequently, characteristics, health behaviors, dietary habits were analyzed.
Results
The participants of the study were classified into five types: a ‘taste-type’, an ‘economy-type’, a ‘convenience-type’, a ‘health-type’, and a ‘safety-type’. As a result of comparing eating habits by food-related lifestyles, the ‘economy-type’ showed the highest dietary assessment with a score of 3.18, while the ‘safety-type’ ranked the lowest, a score of 2.54. The ‘economy-type’ scored highest they ate out less, cooked more, suggesting a need for nutritious cooking classes. The ‘health-type’, with more men and price-conscious individuals, sought healthier convenience options. The ‘taste-type’ preferred food delivery and dining out, needing balanced menus. In contrast, the ‘convenience-type’ overate, scoring low in habits, emphasizing the need for healthier menus and support. The ‘safety-type’ which has a high percentage of jobs in the service industry and high school graduates, showed the need for policy support for better diet.
Conclusions
Young single-person households have different dietary problems depending on their food-related lifestyle. Therefore, we recommended for the customized dietary education considering the characteristics of each type.
서 론
우리나라는 핵가족화로 인한 가족 규모 축소, 청년 실업과 경제 여건 악화, 결혼관 변화 등 다양한 이유로 1인 가구의 수가 빠르게 증가하고 있다. 1인 가구의 비율은 1985년 6.9%에서 2020년 31.7%로 약 4.6배 증가하였으며, 2035년에는 전체 가구의 약 35%를 차지할 것으로 전망되고 있다. 연령대별 1인 가구 구성비를 보면 20대의 비중이 18.8%로 가장 높고, 30대가 16.8%, 50대 15.8% 순으로 나타났다[1].
1인 가구 증가에 따라 솔로 이코노미, 싱글슈머, 일코노미 등의 새로운 용어가 생기게 되었고, 식품시장에서 소분ㆍ소용량 제품 수요 증가, 유통 분야에서 편의점과 인터넷 마켓 확대, 외식 분야에서 배달 및 테이크 아웃 증가, 새로운 식생활 트렌드인 간편식과 밀키트 소비 확산 등 식생활에 많은 변화가 나타났다[2,3]. 치열한 경쟁 사회에서 혼자 사는 성인은 스트레스, 불규칙한 생활, 불균형한 식사 등으로 인해 건강에 문제가 있을 것으로 보여지며 특히 식생활은 건강과 삶의 질에 미치는 영향이 큰 것으로 알려져 있다.
가구 유형별 식생활 비교 연구에서 1인 가구는 다인 가구에 비해 결식, 외식, 음주, 흡연율이 높은 반면[4,5], 삶의 질과[6] 식사의 질[7] 그리고 식생활 만족도는[8] 낮은 것으로 나타났다. 또한 1인 가구는 혼자 식사하는(혼밥) 비율이 다른 가구에 비해 높게 나타났는데 이처럼 혼밥 비율이 높은 경우 영양 불균형, 우울, 대사질환 위험이 높은 것으로 보고되었다[9]. 식품 안전성에 관한 가구별 비교 연구에서도 1인 가구의 식생활 불안정 단계 비율이 2인 이상 가구에 비해 높은 것으로 나타났다[10]. 1인 가구에서 특징되는 빈번한 외식과 간편식 섭취, 혼밥 등의 식사행태는 총열량과 지방, 나트륨 과다 섭취, 영양 불균형 등의 식생활 문제를 유발할 수 있으므로 식사 개선 노력이 필요할 것으로 보인다.
만 19-34세 성인의 식생활을 소득 수준별로 비교한 연구에서는 세끼니 모두 주로 혼자 식사하는 비율이 전체 대상자의 3.5%였으나 소득이 200만 원 미만일 경우는 전체의 9.6%였으며, 식생활에서 영양까지 챙기지 못하는 비율도 소득이 200만 원 미만일 경우에 60.8%로 다른 소득층에 비해 높게 나타나 소득 수준에 따라 식생활에서 차이를 보였다[11]. 20, 30대 청년을 대상으로 한 식품 안전성 관련 식생활 연구에서는 식품 안전성이 확보되지 않은 청년의 경우 두류, 채소류, 과일류, 육류의 섭취량과 에너지 및 단백질, 지방, 비타민 A, 인, 칼륨의 섭취량이 적었고, 전반적인 식생활이 취약한 것으로 조사되었다[12]. 성인 초기의 건강관리는 성인 중기와 후기의 건강 상태에 미치는 영향이 크므로 성인 초기인 청년기에 바람직한 식생활을 유지하는 것은 예방적 건강관리 측면에서 매우 중요하다고 할 수 있다.
식생활이란 식품 섭취와 관련한 모든 행위로 건강과 생명을 유지하기 위한 가장 필수적인 요소이며 사회환경의 변화와도 밀접한 관련성이 있다. 식생활 라이프 스타일은 일상의 식생활에 대한 기본적인 욕구를 반영한 생활양식으로 식품 구매, 음식 소비, 식사 방법 등에 관한 가치 및 문화를 나타낸다. 따라서 개인의 식생활은 식생활 라이프 스타일에 따라 큰 차이를 나타낼 수 있다[13]. 1인 가구는 연령대에 따라 경제적인 상황, 생활하는 영역, 관심 대상, 라이프 스타일 등이 다르며 이는 식생활에도 영향을 미칠 수 있을 것으로 보인다[2,3].
지금까지 진행된 1인 가구 대상 식생활 관련 연구들은 주로 국민건강영양조사 자료를 이용한 2차 연구들이며[14,15], 1인 가구와 다인 가구의 식생활 및 소비행태 비교[16] 또는 대사증후군[7] 관련 연구들이 대부분이었다. 연구 대상도 초기 1인 가구 연구에서는 주로 노년층을 대상으로 진행되었고 이후 전 연령대를 비교하는 연구가 주를 이루며 최근 증가 추세에 있는 청년층을 대상으로 진행된 연구는 별로 없는 실정이다.
따라서 본 연구에서는 20대와 30대 청년 1인 가구를 대상으로 식생활 라이프 스타일에 따른 특성을 살펴보고 이러한 특성별 식습관 및 식사 행동을 파악하여 건강한 식생활 관리를 위한 영양 교육 프로그램 개발의 기초 자료로 제공하고자 하였다.
방 법
1. 연구 대상 및 기간
본 연구에서는 청년을 만 19세 이상 39세 이하 성인으로 규정하는 청년 기본 조례에[17] 근거하여 전국에 거주하는 해당 연령의 1인 가구 남녀 371명을 임의로 선정해 설문조사를 시행하였다. 조사 기간은 2021년 7월 27일부터 8월 7일까지 실시하였으며, 연구에 대한 취지와 목적을 충분히 설명한 후 참여에 동의한 대상자들에 한하여 자기 기입 방식으로 직접 기록하도록 하였다. 총 371부의 설문지를 배포하였으며 이 중 주요 문항에 결측치가 있는 35부를 제외한 총 334부를 최종 분석에 이용하였다. 본 연구는 생명윤리심의위원회 승인을 받은 후 설문조사를 실시하였다(DUIRB-202106-07).
2. 연구 내용 및 방법
본 연구에 사용된 설문지는 선행 연구[3,18]를 참고하여 연구 목적에 맞도록 개발되었으며, 예비 조사 후 수정, 보완된 최종 설문지를 본 연구에 사용하였다. 설문 문항은 일반적 특성(8문항), 식생활 라이프 스타일(25문항) 건강행태(6문항), 식습관 평가(10문항), 식품 구매ㆍ조리ㆍ식사 등 식생활 실태(14문항) 등 5개 영역, 총 63개 문항으로 구성되었다. 식생활 라이프 스타일 25개 문항은 Likert 5점 척도로 측정하였고 이는 ‘전혀 그렇지 않다’의 경우 1점으로부터 ‘매우 그렇다’ 5점까지 점수화하여 요인 및 군집 분석을 시행하였다. 식습관 평가는 생애전환 주기 건강검진의 영양적 식생활 평가 도구(보건복지부 2015) 10문항을 활용하였다. 우유ㆍ두유 및 유제품 섭취, 콩ㆍ두부 등 단백질 섭취, 김치 제외 채소 섭취, 과일 섭취, 식사의 규칙성, 편식 정도 총 6개 항목에서는 ‘아닌 편’ 1점, ‘보통’ 3점, ‘항상’ 5점을 부여하였고, 점수가 높을수록 식생활이 양호함을 의미하였다. 반면 바람직하지 않은 식생활 항목인 튀김이나 볶음류 섭취, 지방이 많은 육류 섭취, 아이스크림·케이크·과자·음료수 섭취, 절인 음식 섭취 총 4개 항목은 역으로 점수를 부여하였고, 본 연구에서 10개 문항의 타당도를 분석한 결과 도구의 신뢰도는 Cronbach's α=0.64였다.
3. 통계적 분석
조사 대상자의 식생활 라이프 스타일에 관한 요인을 추출하기 위하여 탐색적 요인 분석을 시행하였다. 요인회전은 Varimax 방식을 이용하였고, 요인적 재량은 0.5 이상, 고유값(eigen value)은 1.0 이상인 항목을 본 연구에 사용하였다. 요인 분석의 적합성을 보고자 전체 표본 적합도인 Kaiser-Meyer-Olkin (KMO) 값이 기준치 0.6 이상인지를 확인하였고, 변수 간 상관관계를 판단하기 위하여 Bartlett의 구형성 검정을 하였으며, 도출된 각 요인에 대한 내적 일관성을 확인하기 위해 Cronbach's α 값을 이용하여 검증하였다. 산출된 요인들의 표준화된 점수를 기준으로 K-Means 군집 분석을 시행하였으며 도출된 군집별 일반적 사항, 건강행태, 식생활은 빈도를 보기 위한 변수로 분포 차이를 확인하기 위하여 chi-square 검증을 하였다. 이때 관찰값이 0이거나 기대빈도 5 미만이 전체의 20%가 넘는 항목에 대해서는 Fisher’s exact test를 시행하였다. 식습관 평가 분석은 군집 간 평균 차이 비교를 위해 일원분산 분석을 시행하였으며 유의적인 경우 사후검증은 Duncan’s multiple range test를 이용하였다. 본 연구의 모든 분석 결과는 P<0.05일 때 통계적으로 유의한 차이가 있는 것으로 해석하였다. 본 연구의 통계 처리 및 분석을 위해 IBM SPSS Statistics 25 프로그램(IBM, Armonk, NY, USA)을 사용하였다.
결 과
1. 식생활 라이프 스타일의 유형화
1) 요인 분석
청년 1인 가구의 식생활 라이프 스타일 요인을 알아보기 위한 탐색적 요인 분석 결과는 표 1과 같다. 총 25개 문항 중에서 요인 적재량이 낮은 9개 문항을 제외한 16개 문항에 대해 요인 분석을 시행하여 5개의 요인이 추출되었고 5개의 요인이 설명하는 총분산 설명력은 62.86%였다. 표본 적합도인 KMO 값은 0.745로 기준치 0.6보다 높게 나타났으며 Bartlett’s의 구형성 검증 결과는 1,480.414 (P<0.001)로 변수 간의 상관관계가 유의하여 요인 분석에 적합하다고 판단되었다. 각 요인에 대하여 요인 1은 건강 추구형, 요인 2는 편의 추구형, 요인 3은 미식 추구형, 요인 4는 경제 추구형, 요인 5는 안전 추구형으로 명명하였다. 본 연구에서 추출된 요인인 건강 추구형, 편의 추구형, 경제 추구형, 안전 추구형의 Cronbach's α 계수는 0.5 이상으로 나타나 신뢰성이 있는 것으로 판단되었다. 미식 추구형의 Cronbach's α 계수는 0.43으로 신뢰도가 낮았으나 선행 연구에서 검증된 문항이므로 본 연구 모형에 포함하였다.
2) 군집 분석
앞서 추출된 5개의 식생활 라이프 스타일 요인별 점수를 기준으로 유사성이 높은 대상자를 집단으로 분류하고 집단 간 비교를 위하여 군집 분석을 실시하였다. 5개의 요인을 5개의 집단으로 분류하는 것이 바람직한 것으로 판단되었으며, 집단별 요인점수의 평균값인 군집의 중심점을 통한 각 군집별 특성을 나타내면 표 2와 같다. 군집명은 식생활 라이프 스타일의 유의한 차이를 보이는 특징을 반영하여 명명하였다. 군집 1은 전반적 식생활에 관심이 많고 음식 선택 시 맛을 우선하여 미식형(n=66)으로 명명하였고, 군집 2는 편의를 추구하는 성향이 높게 나타나 편의형(n=68)으로, 군집 3은 미식보다는 건강을 추구하는 경향이 높아 건강형(n=60)으로 명명하였다. 군집 4는 편의를 고려하지 않았으나 경제성을 추구하는 경향이 높아 경제형(n=62)으로 명명하였으며, 군집 5는 전반적인 식생활에 무관심한 편이지만 안전을 추구하는 요인이 다른 요인에 비해 변별력 있는 것으로 나타나 안전형(n=78)으로 명명하였다.
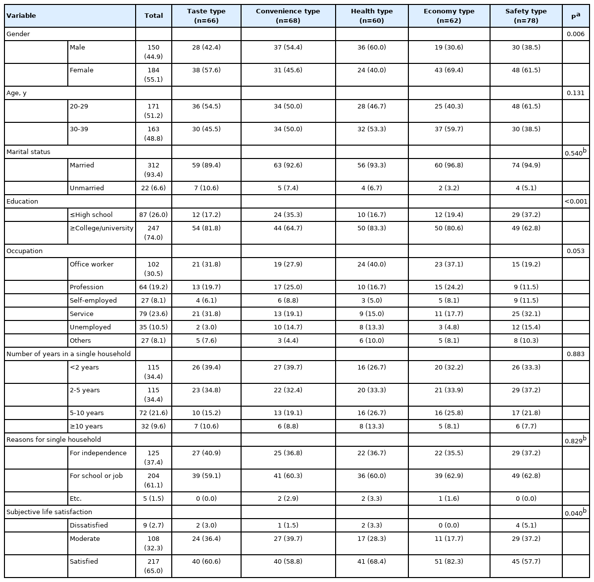
2. 일반적 사항
조사 대상자의 식생활 라이프 스타일 군집별 일반적 특성은 표 3에 제시하였다. 전체 대상자 중 남성의 비율이 44.9%, 여성이 55.1%였으며 건강형 군집에서는 남성의 비율이 60.0%로 다른 군집에 비해 남성 비율이 높게 나타난 반면 경제형에서는 여성의 비율(69.4%)이 다른 군집에 비해 높게 나타났다(P<0.01). 연령, 결혼 여부 및 직업에 관해서는 군집 간 차이를 보이지 않았으나, 교육 수준은 차이를 보였다. 대학 졸업 이상의 학력 비율이 상대적으로 높은 집단은 건강형(83.3%), 미식형(81.8%), 경제형(80.6%)이었으며 편의형(64.7%)과 안전형(62.8%)은 상대적으로 낮은 비율을 보였다(P<0.001). 1인 가구 구성 연수는 5년 미만이 전체의 68.8%였으며, 1인 가구를 구성하게 된 이유는 학교나 직장 때문(61.1%), 독립을 원해서(37.4%)의 순으로 나타났다. 전체 대상자의 65.0%에게서 현재 생활에 대한 주관적 만족도가 높은 것으로 나타났는데 특히 경제형 군집의 경우 만족도가 82.3%로 가장 높은 비율을 보인 반면, 편의형(58.8%), 안전형(57.7%)은 상대적으로 낮은 만족도를 보였다(P<0.05).
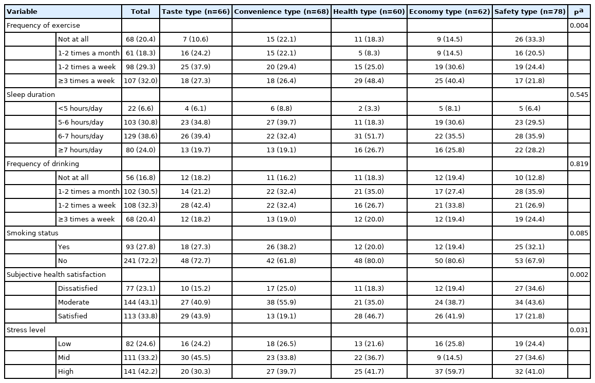
3. 건강행태
표 4는 식생활 라이프 스타일 군집별 건강행태를 나타낸 것이다. 운동 빈도를 살펴보면 주 3회 이상 운동을 자주 하는 비율은 전체 대상자의 32.0%인 반면 운동을 전혀 하지 않는 비율은 20.4%였다. 특히 주 3회 이상 운동을 하는 비율이 상대적으로 높은 군집은 건강형(48.4%)과 경제형(40.4%)이었으며, 반면 안전형은 운동을 전혀 하지 않는 비율(33.3%)이 다른 군집에 비해 상대적으로 높게 나타났다(P<0.01). 수면시간은 6-7시간이 전체 대상자의 38.6%로 가장 많았고 다음으로 5-6시간(30.8%), 7시간 이상(24.0%)의 순이었다. 음주를 하지 않는 비율은 전체 대상자의 16.8%였으며, 흡연을 하지 않는 비율은 72.2%였다. 전체 대상자의 33.8%가 스스로 건강 상태가 양호하다고 생각하고 있었으며 특히 건강형(46.7%), 미식형(43.9%), 경제형(41.9%)이 다른 군집에 비해 상대적으로 높은 비율을 보였다. 반면 건강 상태가 나쁘다고 생각하는 비율은 안전형(34.6%), 편의형(25.0%)에서 높게 나타나 군집 간 차이가 보였다(P<0.01). 전체 대상자의 42.2%가 스트레스를 많이 받고 있었으며, 특히 경제형(59.7%)에서 타 군집에 비해 스트레스를 많이 받는 비율이 높은 것으로 나타났다(P<0.05).
4. 식생활
1) 식습관 평가
조사 대상자의 식생활 라이프 스타일에 따른 식습관 평가 결과는 표 5에 제시하였다. 10개 항목에 대한 식습관 평가 결과 5점 기준에 전체 평균값은 2.84점이며 이는 보통(3점)이하로 전반적인 식습관이 양호하지 않은 것으로 나타났다. 경제형(3.18점), 건강형(3.01점)의 식습관은 보통 이상이었으나 미식형(2.91점), 편의형(2.69점), 안전형(2.54점)은 모두 식습관이 양호하지 않은 것으로 나타나 군집별 식습관 차이를 보였다(P<0.001). 10개의 평가항목 중 4점 이상 높은 점수(좋음)를 보인 것은 ‘절임 채소류를 매일 섭취’(4.17점) 1개 항목이었으며, 3점(보통) 이상 점수를 보인 항목은 ‘편식하지 않고 섭취’(3.46점), ‘콩․두부 등 단백질 식품 섭취’(3.13점), ‘튀김․볶음 음식 섭취’(3.04점)였다. 반면 ‘세끼 규칙적인 식사’(1.91점) 항목은 2점 미만의 가장 낮은 점수를 보였다.
식습관이 상대적으로 가장 양호한 것으로 나타난 경제형의 경우 ‘김치 이외의 채소 섭취’, ‘과일이나 과일주스 섭취’, ‘튀김․볶음 음식 섭취’, ‘지방이 많은 육류 섭취’, ‘세끼 규칙적인 식사’ 항목에서 모두 군집 중 가장 높은 점수를 보였다. 반면 식습관이 가장 불량한 것으로 나타난 안전형의 경우 ‘세끼 규칙적인 식사’, ‘과일이나 과일주스 섭취’, ‘매일 아이스크림ㆍ케잌ㆍ과자ㆍ음료수 중 섭취’, ‘김치 이외의 채소 섭취’, ‘콩․두부 등 단백질 식품 섭취’, ‘튀김․볶음 음식 섭취’ 항목에서 가장 낮은 점수를 보였다. 건강형의 경우에는 특히 ‘매일 아이스크림ㆍ케잌ㆍ과자ㆍ음료수 중 섭취’ 항목에서, 미식형에서는 ‘콩․두부 등 단백질 식품 섭취’ 항목에서 상대적으로 높은 점수를 보였다. ‘우유 및 유제품 섭취’ 항목은 전체 평균 점수가 2.44점으로 양호하지 않은 식습관이었으며 군집 간 유사한 양상으로 나타났다. 반면 양호한 것으로 나타난 ‘절임 채소류 섭취’ 항목에서도 군집 간 차이를 보이지 않았다.
2) 식품 구매ㆍ조리 및 식사행태
(1) 식품 구매
표 6은 식품의 구매 시 장소, 고려사항 및 불편사항 등을 식생활 라이프 스타일 군별로 나타낸 것이다. 식품 구매 장소로는 대형마트가 전체 대상자의 42.8%였으며, 인터넷 쇼핑, 슈퍼마켓/편의점이 각각 27.8%, 27.0%였다. 조사 대상자인 1인 가구 청년은 식품 구매 시 가장 고려하는 것은 맛(41.9%)이었으며 다음으로 가격(29.3%), 유통기한(11.7%), 영양(6.9%)의 순으로 나타났다.
다른 군집에 비해 건강형은 맛(25.0%)보다는 가격(38.4%)을 더 중시하며 특히 다른 집단보다 영양(16.7%)에 높은 관심을 보인 반면 안전형의 경우 맛(41.0%)과 가격(44.9%)을 주로 고려하였으나 영양에는 전혀 관심을 보이지 않았다(P<0.001). 식품 구매 시 불편한 점으로는 ‘많은 양으로 판매’(36.2%), ‘소포장 제품이 다양하지 않음’(27.5%), ‘과다 포장’(14.7%)의 순으로 나타났다.
(2) 조리
조사 대상자의 식생활 라이프 스타일 군집별 식품 조리빈도와 조리 시 어려운 점을 표 7에 제시하였다. 전체 대상자의 33.8%가 주 1-2회 조리를 하고 있으며 주 3회 이상 조리를 하는 경우는 26.4%이며, 전혀 조리를 하지 않는 경우가 18.3%였다. 경제형의 경우 조리를 전혀 하지 않는 경우가 6.5%로 군집 중 가장 낮게 나타난 반면 주 3회 이상 조리를 하는 경우가 54.8%로 가장 높게 나타나 가장 조리를 많이 하고 있는 것으로 나타났다. 반면 편의형은 주 3회 이상 조리하는 경우가 18.2%로 가장 낮은 비율을 보여 군집 유형에 따라 조리하는 빈도가 다른 것으로 나타났다(P<0.001).
대상자의 86.8%는 조리 시 어려운 점이 있다고 생각하고 있었다. 조리가 어려운 이유로는 ‘조리시간이 많이 소요됨’이 45.3%로 가장 많았고, 다음으로 ‘재료 손실이 많음’(29.2%), ‘조리법을 잘 모름’(25.5%)의 순으로 나타났다.
(3) 식사행태
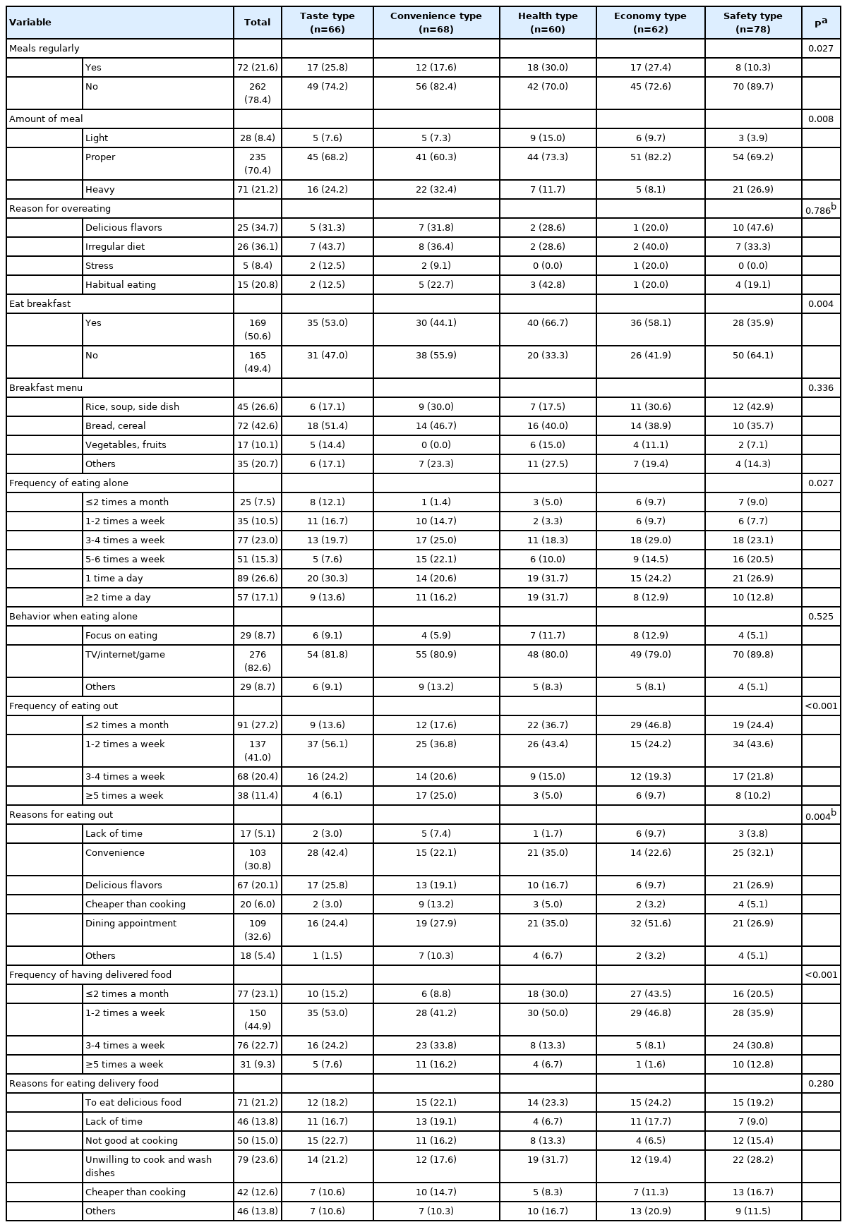
표 8은 식생활 라이프 스타일에 따른 식사행태를 나타낸 것이다. 조사 대상자의 78.4%가 식사를 불규칙적으로 하고 있었는데 특히 안전형의 경우 식사를 불규칙적으로 하는 비율(89.7%)이 군집 중 가장 높게 나타난 반면 식사를 규칙적으로 하는 비율은 건강형에서 30.0%로 가장 높게 나타났다(P<0.05). 평소 식사량은 적당량 먹는 경우가 70.4%로 가장 많았고, 과식을 하는 경우가 21.2%였다. 과식 비율은 편의형(32.4%)과 안전형(26.9%)에서 상대적으로 높게 나타난 반면 건강형과 경제형에서 적당량 식사를 하거나 소식하는 비율이 다른 군집에 비해 높게 나타났다(P<0.01). 과식하는 이유로는 불규칙한 식사(36.1%), 맛있어서(34.7%), 습관적(20.8%)의 순으로 나타났다. 전체 대상자의 약 50%가 아침을 결식하고 있었으며 특히 안전형(64.1%)과 편의형(55.9%)에서 결식률이 상대적으로 높은 반면 건강형(33.3%)에서 가장 낮은 결식률을 보였다(P<0.05).
혼자서 식사하는 빈도를 살펴보면 전체 대상자의 43.7%가 하루 한 번 이상은 혼자 식사하고 있었으며, 특히 하루 두 번 이상 혼자 식사하는 비율은 17.1%였다. 하루 한 번 이상 혼자 식사하는 비율이 건강형(63.4%)에서 가장 높게 나타난 반면 경제형(37.1%)이 가장 낮은 비율을 보였다(P<0.05). 혼자 식사할 경우 식사에만 집중하는 경우는 8.7%인 반면 TV를 보거나 인터넷 또는 게임을 하는 경우가 82.6%로 대부분을 차지하였다.
외식빈도는 주 1-2회 하는 경우가 41.0%로 가장 많았고 월 2회 이하(27.2%), 주 3-4회(20.4%)의 순이었다. 특히 주 5회 이상 자주 하는 경우는 편의형(16.2%)에서 상대적으로 높게 나타난 반면 월 2회 이하로 가끔 외식을 하는 경우는 경제형(46.8%), 건강형(36.7%)에서 높게 나타나 각 군집 별로 외식빈도가 다른 것으로 나타났다(P<0.001). 외식하는 이유로는 식사 약속 때문이 전체의 32.6%였으며 그 외에도 편해서(30.8), 맛있어서(20.1%)로 나타났다. 각 군별로 외식하는 주된 이유에 차이를 보였는데 경제형은 식사 약속(51.6%)을, 미식형은 편해서(42.4%), 건강형은 식사 약속(35.0%)과 편해서(35.0%)를 들었으며 나머지 유형에서는 편해서, 맛있어서, 식사 약속 등의 이유가 균등하게 영향을 주는 것으로 나타났다(P<0.01).
배달 음식 이용빈도는 주 1-2회가 전체의 44.9%로 가장 많았고 다음으로 월 2회 이하(23.1%), 주 3-4회(22.7%)인 것으로 나타났다. 주 3회 이상 자주 이용하는 비율이 편의형(50.0%)에서 가장 높게 나타난 반면 경제형(9.7%)에서 가장 낮게 나타나 군집별 차이를 보였다(P<0.001). 배달 음식을 이용하는 주 이유로 조리나 뒷정리가 귀찮아서(23.6%), 맛있는 음식을 먹고 싶어서(21.2%)였으며 그 외에도 조리를 잘 못해서(15.0%), 시간이 부족해서(13.8%), 조리보다 저렴해서(12.6%)를 이유로 들었다.
고 찰
우리나라의 가족 구성을 보면 과거에는 주로 다인 가구 형태였으나 최근 1인 가구 유형이 빠르게 급증하는 것으로 나타났다. 가구원 수별 가구 구성을 보면 2000년에는 4인 가구가 31.1%로 가장 많았으나, 2020년에는 1인 가구가 31.7%로 가장 높은 비중을 차지하였다[1]. 1인 가구는 다인 가구보다 식생활이 취약한 것으로 알려져 있으며[4,5], 1인 가구의 연령대는 2020년을 기준으로 20대가 18.8%, 30대는 16.8%로 상당수가 청년으로 구성되어 있었다[1]. 따라서 본 연구는 1인 가구 중 상대적으로 식생활이 불균형할 것으로 예측되며 가장 많은 비율을 보이는 연령대인 청년층을 대상으로 식생활 라이프 스타일에 따라 분류한 후 식생활 행태를 분석, 비교해 보고자 하였다. 본 연구에서 도출된 식생활 라이프 스타일 유형은 총 5개로 각각 미식형, 편의형, 건강형, 경제형, 안전형으로 명명하였다. 성인을 대상으로 한 Kim 등[19]의 연구에서도 건강 추구 집단, 경제 추구 집단, 안전 추구 집단, 미각 추구 집단, 편의 추구 집단으로 분류되었으며 전 연령대를 대상으로 한 Lee와 Lee[3]의 연구에서 건강 추구형, 절약형, 무관심형, 편의 추구형으로 분류되어 본 연구와 유사한 결과로 보여진다.
조사 대상자의 건강행태를 살펴보면 주 3회 이상 운동을 자주 하는 대상자는 전체의 32.0%였으며 다른 유형에 비해 건강형(48.4%)과 경제형(40.4%)에서 높은 비율을 보인 반면, 운동을 전혀 하지 않는 비율은 안전형(33.3%)과 편의형(22.1%)에서 상대적으로 높게 나타났다(P<0.01). 주관적 건강 상태가 좋다고 인지한 비율은 전체의 33.8%였으며 건강형(46.7%)에서 가장 높게 나타났고, 미식형(43.9%), 경제형(41.9%)의 순이었다(P<0.01). 1인 가구와 다인 가구를 비교한 연구에서 20대와 30대 1인 가구가 다인 가구에 비해 건강에 관한 관심은 적었으나, 주관적 건강 상태가 좋은 편이라는 응답 비율이 높게 나타나[5] 젊은 시기부터 건강 관리를 해야 하는 필요성을 강조할 필요가 있을 것으로 보인다.
식습관 평가 결과 5점 기준 2.84점으로 보통 이하로 나타나 조사 대상자의 식습관이 양호하지 않은 것으로 나타났다. 경제형(3.18점)과 건강형(3.01점)은 보통 이상의 식습관을 보인 반면 미식형(2.91점)과 편의형(2.69점), 안전형(2.54점)은 3점 미만의 부정적인 식습관을 가진 것으로 나타났다(P<0.001). 식습관 평가 결과 3점(보통) 미만의 점수를 보인 항목은 ‘매일 세끼 규칙적인 식사(1.91점)’, ‘매일 과일이나 과일 주스 섭취(2.26점)’, ‘매일 유제품 섭취(2.44점)’ 등이었다. 특히 ‘세끼 규칙적인 식사’(1.91점) 항목은 2점 미만의 가장 낮은 점수를 보여 청년기 식습관 중 우선적으로 개선되어야 할 항목으로 보여진다. 2020년 식품소비행태조사 결과[5] 20대와 30대 1인 가구는 식생활 역량 평균 점수가 5점 기준 3.4점으로 다인 가구에 비해 낮은 평균 점수를 보였고, ‘아침 식사를 챙겨 먹고 규칙적인 식사’, ‘적절한 영양 섭취를 위해 다양한 식품을 고루 섭취’, ‘평소 채소, 과일, 통곡류를 많이 섭취’하는 역량이 다인 가구보다 낮은 것으로 조사되었다. 이들 청년층 1인 가구에 대하여 결식 원인에 대한 해결 방안을 모색하여 식사를 규칙적으로 하도록 하고, 채소ㆍ과일ㆍ유제품 등의 섭취를 통해 다양한 식품 섭취를 강조할 필요가 있을 것으로 보인다.
식품 구매 장소는 대형마트가 42.8%로 가장 높게 나타났고, 인터넷 쇼핑은 27.8%였다. 1인 가구의 식품시장 영향 관계를 본 연구 결과 1인 가구는 주로 동네 중·소형 슈퍼마켓과 대형할인점에서 식품을 구매하였으며[10], 서울 거주 1인 가구 연구에서는 식품 구매 장소로 대형마트(54.1%), 동네 슈퍼(28.1%), 온라인 구매(7.6%) 순으로 주로 오프라인을 이용하는 것으로 나타나[20] 본 연구 대상자의 온라인 구매 이용률이 타 연구에 비해 높은 것으로 나타났다. 이는 온라인 구매 이용 증가 추세로도 볼 수 있으나 특히 본 연구가 코로나19 상황에서 진행되어 비대면 구매가 가능한 온라인의 비율이 높아진 것으로 보여진다.
청년 1인 가구 중 주 1-2회 조리하는 경우가 전체의 33.8%, 전혀 조리하지 않는 경우는 18.3%였으며, 특히 경제형에서 직접 조리하는 비율이 가장 높은 반면, 편의형에서는 조리하는 비율이 상대적으로 가장 낮게 나타나 유형별 차이를 보였다(P<0.001). Yang 등[20]의 연구에서도 서울 거주 청년 1인 가구의 37.7%가 주 1-2회 조리를 하고, 23.4%가 전혀 조리하지 않는다고 나타나 본 연구 결과와 유사한 경향을 보였다. 본 연구에서 조사 대상자의 86.8%는 조리 시 어려운 점이 있다고 생각하고 있었으며 조리가 어려운 이유로는 ‘조리시간이 많이 소요됨’이 45.3%로 가장 많았다. 수도권 1인 가구 연구[18]에서도 20대의 83.5%, 30대의 88.7%가 조리 시 어려운 점이 있다고 하였으며, 가장 주된 이유로 시간이 많이 소요되는 것을 들었다. 이는 다른 연령대에 비해 청년층이 조리에 익숙하지 않아 시간 소요가 더 큰 것으로 보여진다.
식생활 라이프 스타일별 식사행태를 분석한 결과 규칙적 식사 비율이 높은 군집은 건강형(30.3%)과 경제형(27.4%)이었고, 낮은 군집은 편의형(17.6%)과 안전형(10.3%)이었 다(P<0.05). 식생활 라이프 스타일별 1인 가구 연구[3]에서도 규칙적으로 식사하는 비율이 높았던 군집은 절약형(81.2%)과 건강 추구형(77.5%)이었으며, 가장 낮은 군집은 편의 추구형(51.0%)으로 조사되어 본 연구 결과와 유사하였다. 전체 대상자의 43.7%가 하루 한 번 이상 혼자 식사하고 있었으며, 하루 두 번 이상 혼자 식사하는 비율은 17.1%였다. 청년층과 중년층을 대상으로 한 1인 가구 연구[21]에서도 20대의 39.8%와 30대의 48.5%가 매일 2회 이상 혼밥을 하는 것으로 나타났다. 성인의 혼밥 행태 연구[9]에서 혼자 식사하는 남성에게서 20대와 30대, 무직의 비율이 높은 것으로 나타났다. 혼밥 빈도가 높게 되면 다양한 식품 섭취가 어렵고 열량의 과잉 및 부족 섭취, 특정 영양소의 편중 및 불균형으로 인한 비만, 당뇨, 고혈압, 고지혈증 등의 위험이 증가하며, 또한 동반 식사 집단에 비해 우울 정도가 높아 삶의 질이 낮은 것으로 보고되고 있다[22,23]. 1인 가구에서 특징되는 빈번한 외식과 간편식 섭취, 혼밥 등의 식사행태는 총열량과 지방, 나트륨 과다 섭취, 영양 불균형 등의 식생활 문제를 유발할 수 있으므로 특별한 주의가 필요할 것으로 보인다.
본 연구 대상자 중 외식을 주 1-2회 하는 경우가 전체의 41.0%로 가장 많았고, 주 5회 이상 비율은 11.4%였다. 국민건강영양조사 자료를 활용한 An과 Son[15]의 연구에서 주 5회 이상 외식 비율이 다인 가구에서 48.8%, 1인 가구에서 58.9%였으며, 수도권 거주 1인 가구를 대상으로 한 Heo와 Sim[18]의 연구에서도 주 5회 이상 외식 비율이 20대의 43.7%, 30대의 53.6%로 본 연구에 비해 외식 비율이 높은 것으로 나타났다.
배달 음식 이용은 주 1-2회가 전체 대상자의 44.9%로 가장 많았고 월 2회 이하(23.1%), 주 3-4회(22.7%)의 순으로 나타났다. 식품소비행태 조사 결과[5] 1인 가구 중 청년층은 주 1.3회 배달 음식을 이용하는 것으로 나타나 본 연구 결과와 유사한 경향을 보였다. 일반 성인을 대상으로 한 연구에서 전체의 65.4%는 월 1-2회 배달 또는 테이크 아웃을 이용하였고[16], 20대부터 50대 성인을 대상으로 한 연구에서는 전체의 47.2%가 월 2-4회 배달 또는 테이크 아웃을 이용하는 것으로 조사되어[24] 다인 가구에 비해 1인 가구의 배달 음식 이용빈도가 높은 것으로 보여진다. 또한 1인 가구의 식생활 역량 연구에서 식생활 역량 점수가 높을수록 배달 및 테이크 아웃 이용빈도가 감소하는 관계를 보였으며[25], 본 연구에서도 식습관 점수가 높았던 경제형은 월 2회 이하 배달 음식 이용 비율이 43.5%, 식습관 점수가 가장 낮았던 안전형은 주 5회 이상 배달 음식 이용 비율이 12.8%로 군집 중 가장 높게 나타나 유사한 경향을 보였다.
본 연구 결과 청년 1인 가구는 식생활 라이프 스타일에 따른 식생활 문제점에 차이를 보여 각 군집별 특징을 고려한 맞춤형 영양 교육 및 지원이 필요할 것으로 보인다. 식습관 점수가 가장 높았던 경제형은 외식빈도가 낮고 조리빈도는 높아 영양가가 높은 레시피로 구성된 요리 강좌 제공이 필요하고, 건강형은 남성 비율이 높고 가격을 고려한 식품 구매를 하므로 저렴하면서도 건강한 간편식을 개발하여 제공하는 것이 필요하며, 미식형은 배달과 외식빈도가 높고 맛을 기준으로 식품을 구매하므로 맛있으면서 영양가가 높은 메뉴 개발이 필요하다. 편의형은 식습관 평가 점수가 낮고 과식 비율이 높아 건강식 메뉴 개발과 함께 식생활 교육 지원을 제공해야 할 것으로 보인다. 식습관 평가 점수가 가장 낮았던 안전형은 고등학교 졸업 이하의 학력 비율과 서비스업 종사 비율이 높고 가격을 고려한 식품 구매를 하므로 합리적 소비를 위한 정보 제공과 함께 전반적인 식생활 개선을 위한 정책적 지원이 필요하다.
본 연구는 전수 조사가 아닌 연구 대상자를 편의 추출하여 진행된 조사라는 제한점이 있으나 청년층 1인 가구를 대상으로 식생활 현황 및 문제점을 심도 있게 파악해 볼 수 있었다. 따라서 본 연구는 식생활 라이프 스타일별로 도출된 식생활의 특징이 남은 삶이 다른 성인기보다 긴 청년 1인 가구의 건강한 식생활을 위한 영양 프로그램 개발의 기초 자료를 마련하는 데 유용한 정보로 활용될 수 있을 것으로 기대된다.
