지역사회 치매 환자의 가족과 일반인의 수면의 질 비교: 지역사회건강조사 분석
Comparison of Sleep Quality between Families of Dementia Patients and General Population in Community: Analysis with the Korea Community Health Survey
Article information
Abstract
연구 배경
본 연구는 치매 환자 가족을 치매 환자와 따로 살고 있는 가족구성원과 치매 환자와 집에서 함께 거주하는 가족구성원으로 구분하여 이들의 수면의 질의 차이를 일반 가족구성원과 비교하여 평가하였다.
방법
2018년 지역사회건강조사 원자료를 활용하여 19세 이상 성인 215,676명을 최종 분석 대상으로 하였다. 대상자는 ①치매동거가구원(치매 환자와 집에서 동거하는 가족구성원), ②치매비동거가구원(치매 환자와 동거하지 않는 가족구성원), ③일반가구원(가족 내 치매 환자가 없는 가족구성원)의 세 집단으로 분류하였다. 대상자의 수면의 질 평가는 ‘피츠버그 수면의 질 지수(Pittsburgh Sleep Quality Index)’ 도구를 이용하였으며, 점수가 5점을 초과하면 수면 장애가 있는 것으로 판단하였다. 치매 환자 가족 분류와 수면 장애의 관련성을 파악하기 위해 로지스틱 회귀분석을 시행하여 교차비(odds ratio, OR)와 95% 신뢰구간(confidence interval, CI)을 산출하였다.
결과
수면 장애의 유병률은 치매동거가구원(48.3%)이 가장 높았고, 다음으로 치매비동거가구원(40.7%), 일반가구원(38.8%)의 순이었다. 인구사회학적 특성과 건강 행태, 동반 질환 변수를 보정한 후, 치매비동거가구원(OR, 1.22; 95% CI, 1.17-1.27)과 치매동거가구원(OR, 1.42; 95% CI, 1.31-1.54)이 일반가구원에 비해 수면 장애 유병 위험이 유의하게 높았다.
결론
본 연구는 현재 치매 환자와의 동거 여부에 관계없이 치매 환자 가족은 일반인에 비해 수면의 질이 낮음을 확인하였다. 지역사회에서 치매 관리를 위해서는 치매 환자뿐만 아니라 치매 환자 가족의 정신건강 관리 및 사회적 지원이 필요할 것이다.
Trans Abstract
Background
This study aimed to examine the difference of sleep quality between family members of dementia patients and general population in community.
Methods
Participants (n=215,676) aged 19 years and over in the 2018 Korea Community Health Survey were classified into three groups; family members living at home with a person with dementia (FHD; n=2,445), family members living separately from a person with dementia (FSD; n=9,132), and family members without a person with dementia in the family (FwoD; n=204,099). The Pittsburgh Sleep Quality Index greater than 6 points was regarded as poor sleep quality (PSQ). Multiple logistic regression analysis was used to explore the associations between living with dementia patients and PSQ.
Results
The prevalence of PSQ was 48.3% in FHD, 40.7% in FSD, and 38.8% in FwoD. After adjusting for potential confounders, compared to FwoD, the odds ratio for PSQ was 1.42 (95% confidence interval [CI], 1.31-1.54) in FHD and 1.22 (95% CI, 1.17-1.27) in FSD. Additionally, almost all age- and sex-stratified family of dementia patients, except for the youngest (<40 years) men of FHD and the youngest (<40 years) men of FSD, had a higher risk for PSQ than FwoD.
Conclusions
Both FHD and FSD have lower sleep quality than FwoD. Public psychological interventions and supports are needed to family members of dementia patients in the community.
서 론
치매는 후천적인 원인들로 인해 기억력, 판단력, 주의집중력, 시공간 감각 능력 같은 인지기능 장애가 나타나서 혼자서 일상생활을 제대로 수행하기 어렵게 만드는 상태이다. 전 세계 치매 환자는 2019년에 약 5,740만 명에서 인구 고령화의 영향으로 2050년에는 약 1억 5,280만 명까지 증가될 것으로 예상된다[1]. 2021년 기준 우리나라의 65세 이상 치매상병자는 약 89만 명으로 유병률은 10.4%이며, 2050년에는 315만 명에 이를 것으로 추정된다[2]. 우리나라의 국가치매관리비용은 연간 18조 7천억 원으로 gross domestic product의 약 0.9%를 차지하며, 치매 환자 1인당 관리 비용은 의료비, 간병비, 간접비 등을 포함하여 2,112만 원으로 치매가 국가와 가족에 큰 부담이 되고 있다[2].
치매 환자는 식사, 세면, 옷 입기, 용변 등의 독립적인 활동이 어려워서 일상생활에서 다른 사람의 도움이 필요하다. 치매 환자는 자신이 살아온 지역사회에서 가족과 함께 생활하는 것이 삶의 질에 긍정적인 영향을 미치며, 초기 치매 단계부터 가정에서 부양을 받은 치매 환자는 요양시설로 입소하기까지의 기간이 지연되었다[3]. 치매 환자는 배우자, 자녀, 손자녀 등의 가족구성원의 도움을 받는데, 우리나라는 치매 환자를 포함하여 배우자, 자녀(부부), 손자녀(부부) 등의 치매 환자 가족이 총 375만 명에 달하는 것으로 추정된다[4]. 집에서 거주하는 치매 환자의 부양과 간병에 있어 가족이 매우 중요한 역할을 하는데, 도시화, 핵가족화, 맞벌이 가정의 증가 등의 급속한 사회적 변화로 인해 가족의 부양과 간병 부담이 지속 증가하고 있다. 치매 환자의 가족은 간병을 위해 주당 21.9시간을 사용하며[5], 치매 환자의 인지기능 장애가 심해질수록 간병의 시간과 강도가 높아짐에 따라 가족구성원의 신체적, 정신적 부담이 증가한다[6]. 간병은 감정적, 인지적인 부담을 유발하여 간병인의 전반적인 건강에 악영향을 미친다[7]. 특히 치매 환자의 간병 부담은 다른 질환자의 간병 부담보다 강도가 세고 오래 지속되는 특성이 있어서 가족의 신체적, 정신적, 경제적 부담을 크게 초래한다[8].
치매 환자의 가족구성원은 오랜 기간 환자를 돌보는 과정에서 우울증, 스트레스 등이 생기며, 더 나아가 수면 장애가 생길 수 있다. 가족구성원의 수면의 질 저하는 정신적, 신체적, 인지기능의 변화를 유발할 수 있다[7]. 치매 환자 가족구성원의 절반 이상이 수면 장애가 있을 정도로 수면 장애는 치매 환자 가족구성원에서 흔하게 보고된다[9]. 하지만 대규모 인구집단을 대상으로 치매 환자 가족의 수면의 질과 일반인의 수면의 질을 비교한 연구는 많지 않았으며, 치매 환자와 동거하는 가족구성원과 따로 거주하는 가족구성원을 구분하여 수면의 질을 비교한 연구는 없었다. 특히 우리나라는 치매 환자의 가족들이 간병과 비용을 분담하는 경향이 있으므로 치매 환자와 함께 사는 가족구성원뿐만 아니라 따로 살고 있는 가족구성원의 부양 부담과 수면의 질을 평가할 필요가 있다.
이에 본 연구는 우리나라의 지역사회건강조사 자료를 이용하여 가족 중 치매 환자가 없는 일반 인구와 치매 환자 가족의 수면의 질을 비교하고자 하였다. 특히 치매 환자 가족을 치매 환자와 따로 살고 있는 가족과 치매 환자와 집에서 함께 거주하는 가족구성원으로 구분하여 이들의 수면의 질의 차이를 일반인과 비교하여 평가하였다.
방 법
1. 연구 대상
본 연구는 지역사회 일반인과 치매 환자 가족의 수면의 질 차이를 파악하기 위하여 국가단위 조사인 지역사회건강조사의 원자료를 이용하였다. 연구에서 이용한 2018년 지역사회건강조사는 2018년 8월 16일부터 10월 31일까지 전국 시·군·구의 표본가구에 살고 있는 만 19세 이상 성인을 대상으로 시행하였다. 훈련된 조사원이 표본으로 선정된 가구를 방문하여 조사 대상자와 노트북을 활용한 일대일 면접으로 총 21개 영역, 201개의 문항에 대해 조사하였다. 조사가 완료된 전체 228,340명 중 본인이 의사에게 치매를 진단받은 환자라고 응답한 사람(491명)은 제외하였으며, 인구사회학적 특성, 건강행태, 동반 질환 변수에 응답을 거부하거나 모른다고 응답한 사람을 제외하고 최종 215,676명을 분석 대상으로 하였다. 본 연구는 원광대학교병원 의학연구윤리심의위원회의 승인을 받았다(WKUH 2023-08-008).
2. 연구 변수
1) 일반적 특성
대상자의 인구사회학적 특성은 성, 연령, 세대 구성, 거주 지역, 혼인상태, 교육 수준, 월평균 가구소득, 취업상태를 포함하였다. 성은 남자와 여자로 구분하였고, 연령은 만 나이를 기준으로 연속변수로 처리하였다. 세대 유형은 가구원들의 구성에 따라 1세대(부부, 부부+미혼 형제·자매, 응답자+미혼 형제·자매, 응답자+기타 친인척 등), 2세대(부부+미혼 자녀, 부부+부/모, 부부+양친, 부/모+미혼 자녀 등), 3세대(부부+미혼 자녀+양친, 부부+미혼 자녀+부/모 등)로 구분하였다. 거주지역은 읍·면과 동으로 구분하였고, 혼인상태는 결혼 여부와 배우자 유무를 기준으로 유배우자, 미혼, 이혼·별거, 사별로 구분하였다. 교육 수준은 최종 학교 졸업 여부를 기준으로 무학, 초등학교, 중학교, 고등학교, 대학교 이상으로 분류하였다. 월평균 가구소득은 최근 1년 동안 가구원의 총 소득을 기준으로 100만 원 미만, 100-299만 원, 300-499만 원, 500만 원 이상으로 분류하였다. 취업상태는 현재 종사하고 있는 직업의 유무와 종류를 통해 유직업군, 무직업군, 기타군(학생·주부)으로 구분하였다.
현재 흡연 여부는 현재 흡연자(평생 100개비 이상 흡연한 사람으로서 현재 흡연 중)와 현재 비흡연자(평생 100개비 미만 흡연 또는 과거 흡연)로 구분하였으며, 현재 음주 여부는 현재 음주자(최근 1년 동안 술을 마신 적이 있음)와 현재 비음주자(최근 1년 동안 술을 마신 적이 없음)로 구분하였다. 걷기 실천은 최근 1주일 동안의 걷기 시간과 횟수를 평가하여 하루에 30분 이상 걸었던 날을 기준으로 5일 이상과 4일 이하로 구분하였다. 고혈압 진단 여부는 의사로부터 고혈압을 진단받은 경험이 있는지를 확인하였으며, 당뇨병 진단 여부는 의사로부터 당뇨병을 진단받은 경험이 있는지를 확인하였다.
2) 치매 환자 가족의 구분
지역사회건강조사에서는 ‘귀 가족 중에 의사로부터 치매를 진단받은 환자가 있습니까?’라는 문항을 통해 대상자의 가족(가구주 기준으로 부모, 배우자의 부모, 배우자, 형제, 자매, 본인, 자녀) 중 치매 환자가 있는지를 확인하였다. 가족 중 치매 환자가 있다고 응답한 경우에는 현재 치매 환자와 함께 거주하고 있는지를 추가로 확인하였다. 이를 통해 전체 대상자를 ①치매동거가구원(치매 환자와 집에서 동거하는 가족구성원, family members living at home with a person with dementia); ②치매비동거가구원(치매 환자와 동거하지 않는 가족구성원, family members living separately from a person with dementia); ③일반가구원(가족 내 치매 환자가 없는 가족구성원, family members without a person with dementia in the family)의 세 집단으로 분류하였다.
3) 수면의 질 평가
대상자의 수면의 질 평가는 ‘피츠버그 수면의 질 지수(Pittsburgh Sleep Quality Index, PSQI)’ 도구를 이용하였다. PSQI는 지난 한 달 동안의 수면의 질을 평가하는 총 19개 문항의 자기보고식 질문지를 이용하여 수면 장애 정도를 판단하는 척도로서[10], 주관적 수면의 질, 입면 시간, 수면 시간, 평소의 수면 효율, 수면 장애, 수면제 복용, 주간 기능 장애의 7개 구성요소(components)로 이루어진다. 각 구성요소별로 0-3점으로 평가하고 7개 구성요소 점수를 최종 합산하면 0점에서 21점까지이며, 점수가 높을수록 수면의 질은 낮아진다. PSQI의 절단점은 5점이며, 전체 점수가 5점 이하이면 양호한 수면인(good sleeper), 5점을 초과하면 불량한 수면인(poor sleeper)으로 구분한다[10].
3. 분석 방법
대상자의 치매 환자 가족 분류에 따른 일반적 특성은 평균±표준편차, 빈도(%)로 제시하였으며, 분산분석과 카이제곱검정을 이용하여 차이를 검정하였다. 또한 치매 환자 가족 분류에 따른 PSQI 점수의 차이와 수면 장애(PSQI >5점)유병률의 차이는 분산분석과 카이제곱검정을 이용하여 검정하였다. 치매 환자 가족 분류와 수면 장애의 관련성을 파악하기 위해 로지스틱 회귀분석을 시행하여 교차비(odds ratio, OR)와 95% 신뢰구간(confidence interval, CI)을 산출하였다. 치매 환자 가족 분류를 설명변수(일반가구원 기준)로 하고 수면 장애 여부를 결과변수로 하였으며, 성·연령, 인구사회학적 변수, 건강행태 및 동반 질환 변수를 순차적으로 보정하였다. 통계 분석은 SPSS Statistics for Windows, version 22.0 (IBM Corp., Armonk, NY, USA)을 이용하였고, 통계적 유의수준(α)은 0.05를 기준으로 하였다.
결 과
1. 대상자의 일반적 특성
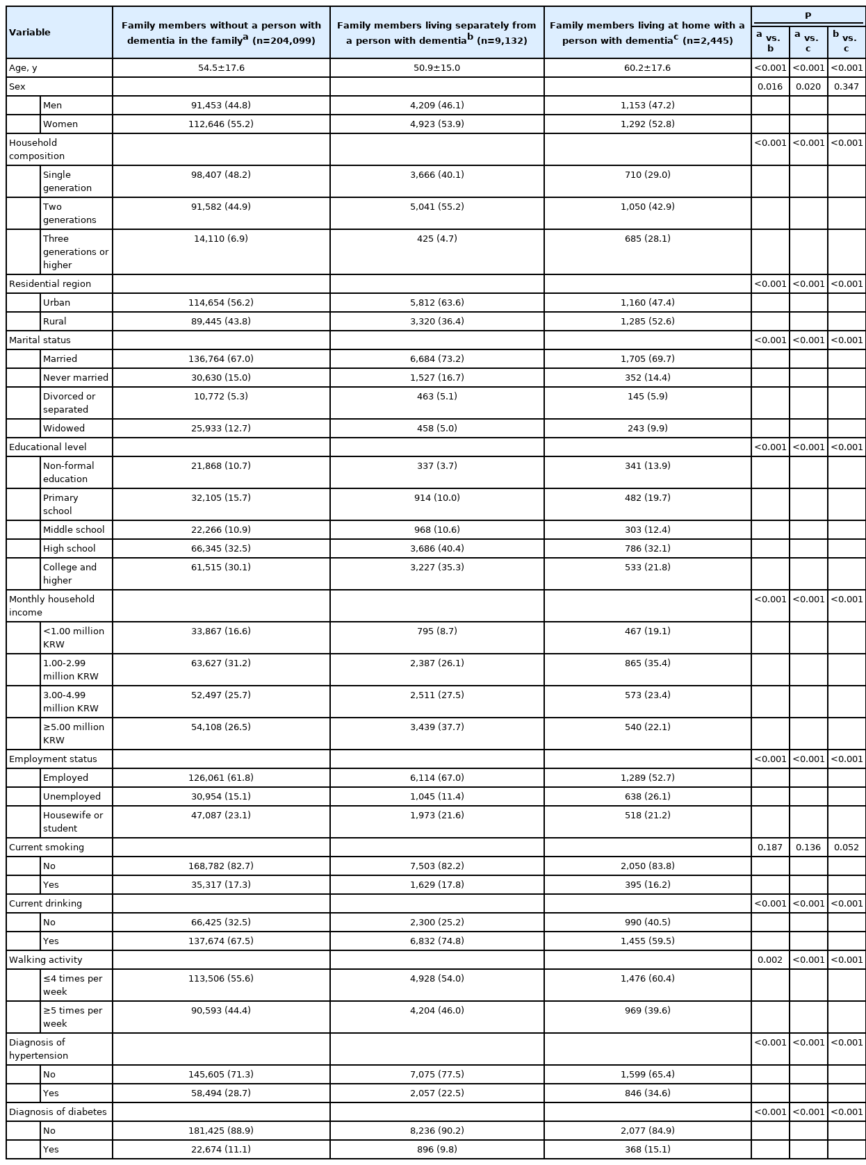
전체 대상자(215,676명) 중 ‘치매동거가구원’은 2,445명(1.1%), ‘치매비동거가구원’은 9,132명(4.3%)이며, ‘일반가구원’은 204,099명(94.6%)이었다. 세 집단의 평균 나이는 ‘치매비동거가구원(50.9±15.0세)’이 가장 적었고, ‘치매동거가구원(60.2±17.6세)’이 가장 많았으며, ‘일반가구원(54.5±17.6세)’은 중간이었는데, 집단 간 모두 유의한 차이가 있었다(P<0.001). 여자의 비율은 일반가구원(55.2%)이 가장 높았고, 치매동거가구원(52.8%)이 가장 낮았다. 세 집단의 세대 구성은 3세대 이상의 비율은 치매동거가구원(28.1%)에서 가장 높은 반면, 1세대의 비율은 일반가구원(48.2%)에서 가장 높았고, 집단 간 모두 유의한 차이가 있었다(P<0.001). 유배우자의 비율은 치매비동거가구원(73.2%)에서 가장 높았고, 집단 간 모두 유의한 차이가 있었다(P<0.001). 교육 수준과 월 평균 가구소득은 치매비동거가구원이 가장 높은 반면, 치매동거가구원이 가장 낮은 경향을 보였으며, 집단 간 모두 유의한 차이가 있었다(P<0.001). 직업이 있는 비율은 치매비동거가구원(67.0%)이 가장 높은 반면, 치매동거가구원(52.7%)이 가장 낮았다(Table 1).
세 집단의 현재 흡연율의 유의한 차이는 없었지만, 현재 음주율은 치매비동거가구원(74.8%)이 가장 높은 반면, 치매동거가구원(59.5%)이 가장 낮았다. 걷기 실천율은 치매동거가구원(39.6%)이 다른 두 집단에 비해 유의하게 낮았다(P<0.001). 고혈압 및 당뇨병 진단률은 치매동거가구원(고혈압 34.6%, 당뇨병 15.1%)이 가장 높은 반면, 치매비동거가구원(고혈압 22.5%, 당뇨병 9.8%)이 가장 낮았으며, 집단 간 모두 유의한 차이가 있었다(P<0.001) (Table 1).
2. 치매 환자 가족 여부에 따른 수면 장애의 유병률 차이
PSQI 점수는 치매동거가구원(6.11±3.47점)이 가장 높았고, 다음으로 치매비동거가구원(5.48±3.08점), 일반가구원(5.35±3.11점)의 순이었으며, 집단 간 모두 유의한 차이가 있었다(P<0.001). 수면 장애(PSQI >5점)의 유병률은 치매동거가구원(48.3%)이 가장 높았고, 다음으로 치매비동거가구원(40.7%), 일반가구원(38.8%)의 순이었으며, 집단 간 모두 유의한 차이가 있었다(P<0.001) (Table 2).
3. 일반인 대비 치매 환자 가족의 수면 장애 유병 비교
인구사회학적 특성과 건강행태 및 만성 질환 유병 변수를 순차적으로 보정하면서 일반가구원을 기준으로 치매비동거가구원과 치매동거가구원의 수면 장애 유병의 OR과 95% CI를 산출하였다(Table 3). 모형 1(연령과 성 보정)에서는 치매비동거가구원과 치매동거가구원이, 모형 2(인구사회학적 변수 추가 보정)에서도 치매비동거가구원과 치매동거가구원이 일반가구원에 비해 수면 장애 유병 위험이 유의하게 높았다. 모형 3(건강행태 및 동반 질환 추가 보정)에서는 치매비동거가구원(OR, 1.22; 95% CI, 1.17-1.27)과 치매동거가구원(OR, 1.42; 95% CI, 1.31-1.54)이 일반가구원에 비해 수면 장애 유병 위험이 유의하게 높았다.
4. 성·연령으로 구분한 일반인 대비 치매 환자 가족의 수면 장애 유병 비교
성과 연령군(40세 미만, 40-64세, 65세 이상)으로 층화한 후, 먼저 인구사회학적 특성과 건강행태, 동반 질환 변수를 보정한 상태에서 수면 장애 유병률의 OR과 95% CI를 산출하였다(Table 4). 남자의 경우, 일반가구원에 비해 치매비동거가구원은 40세 미만에서는 유의한 차이가 없었지만, 40-64세(OR, 1.29; 95% CI, 1.18-1.40)와 65세 이상(OR, 1.25; 95% CI, 1.07-1.45)에서는 수면 장애 유병 위험이 유의하게 높았다. 또한 치매동거가구원도 40세 미만에서는 일반가구원과 유의한 차이가 없었지만, 40-64세(OR, 1.44; 95% CI, 1.20-1.72)와 65세 이상(OR, 1.42; 95% CI, 1.18-1.71)에서는 수면 장애 유병 위험이 유의하게 높았다.
Associations between living with a person with dementia and poor sleep quality according to age and sex
여자의 경우, 일반가구원에 비해 치매비동거가구원은 40세 미만(OR, 1.23; 95% CI, 1.08-1.40), 40-64세(OR, 1.29; 95% CI, 1.20-1.39), 65세 이상(OR, 1.20; 95% CI, 1.04-1.39)의 모든 연령대에서 수면 장애 유병 위험이 유의하게 높았으며, 치매동거가구원도 40세 미만(OR, 1.62; 95% CI, 1.17-2.24), 40-64세(OR, 1.56; 95% CI, 1.32-1.85), 65세 이상(OR, 1.21; 95% CI, 1.02-1.44)의 모든 연령대에서 수면 장애 유병 위험이 유의하게 높았다.
고 찰
우리나라 지역사회건강조사 자료를 분석한 결과, 치매 환자 가족은 가족 중 치매 환자가 없는 일반인에 비해 PSQI를 통해 평가한 수면의 질이 낮았는데, 치매 환자와 함께 거주하는 가족뿐만 아니라 치매 환자와 따로 거주하는 가족도 일반인에 비해 모두 수면의 질이 유의하게 낮았다. 또한 성과 연령을 층화하여 분석한 결과, 치매 환자와 따로 거주하거나 치매 환자와 함께 거주하는 젊은 남성을 제외한 모든 성·연령군 계층의 치매 환자 가족구성원은 일반인에 비해 수면의 질이 유의하게 낮았다.
치매는 퇴행성, 진행성, 비가역성의 특징을 가진 질환으로 가족의 간병 기간이 장기화되는 경향을 보인다. 노인 치매 환자의 간병 기간은 평균 5.1년으로 노인 암환자에 비해 4배 이상 길며, 하루 평균 12.2시간을 간병에 사용한다[11,12]. 치매 환자의 간병 부담은 상대적으로 강도가 세고 시간이 길고 오래 지속되는 특성이 있어서 가족구성원의 신체적 부담을 초래하며, 정신적·심리적 부담을 크게 초래함으로써 수면의 질을 저하시킨다[6,8]. 최근 메타분석 연구에서 치매 환자의 간병인은 성과 연령으로 짝을 이룬 비간병인(비교군)에 비해 수면 시간이 주당 2.42-3.50시간 유의하게 적었다[13]. 또한 치매 환자의 간병인은 성과 연령이 같은 비간병인 및 인구 집단 기반의 일반인에 비해 PSQI 등의 설문조사로 평가한 수면의 질이 유의하게 낮았다[13]. 치매 환자 가족을 대상으로 한 연구들에서 수면 장애는 치매 환자 가족구성원에서 흔하게 보고되었는데, 가족구성원의 50-74%가 수면 장애가 있었다[9].
수면과 간병은 양방향의 관련성이 있다. 먼저 치매 환자의 간병은 간병인 자신뿐만 아니라 치매 환자의 약물복용, 진료 일정을 포함한 모든 일상적 요구를 기억해야 하는 이중적인 역할로 인해 스트레스와 인지적 부담이 증가하며, 결국 잠이 들기까지 걸리는 시간이 길어진다[14,15]. 또한 치매 환자로 인해 간병인은 밤에 자주 깨게 되므로 수면의 방해를 받게 된다[13]. 이러한 상황들이 PSQI의 입면 시간, 수면 시간, 수면 효율 등의 구성요소에 영향을 미쳐 간병인의 수면의 질을 감소시킨다. 한편 간병인의 불량한 수면의 질은 치매 환자에 대한 간병에 부정적 영향을 준다. 간병인의 수면 장애로 신체적 건강이 악화되면 간병인으로서의 역할을 효과적으로 수행하기 어렵게 된다[13]. 또한 우울증과 걱정 등의 부정적 감정을 증가시킴으로써 간병인의 간병 태도에 영향을 미친다[16]. 간병인의 낮은 수면의 질이 뇌의 기질적 변화를 통해 인지기능을 저하시킴으로써, 간병인이 치매 환자의 약물복용을 잊거나 다양한 간병 역할이나 적절한 판단을 하지 못하도록 할 수 있다[17]. 간병인의 낮은 수면의 질은 궁극적으로는 본인에게 알츠하이머나 다른 종류의 치매 발생을 증가시킬 수 있다[18].
우리나라는 전통문화의 효 사상과 가족주의 문화의 영향으로 지금도 자녀들이 부모를 부양하는 경우가 많이 있다. 치매 환자와 집에서 함께 사는 가족 중 자녀(아들 내외, 딸 내외)가 주부양자인 경우가 많다[19]. 주부양자의 절반 이상은 40대와 50대의 중년으로 이들은 치매 치료비용에 대한 부담과 치매 환자 간병에 따른 경제활동의 위축으로 인해 경제적 부담을 가진다[19]. 치매 환자와 함께 사는 가족은 직접적인 간병 부담과 경제적 부담으로 인해 신체적, 정신적 건강이 나빠져서 수면 장애로 이어질 수 있다. 본 연구에서 치매 환자와 함께 살지 않는 가족도 일반인에 비해 수면의 질이 낮았는데, 이는 치매 환자가 시설에 입소해 있거나 다른 가족이 함께 살면서 부양하는 등 현재 치매 환자와 함께 거주하지 않는 치매 가족이라도 경제적 부담이나 다른 부양 부담으로 인해 수면의 질이 일반인에 비해 낮은 것으로 판단된다. 한편 본 연구에서 치매 환자의 가족 중 직접 동거하는 경우가 동거하지 않는 경우에 비해 주요 변수 보정 전·후나 성·연령을 구분하여 살펴본 결과에서도 일관되게 교차비 값이 높았다. 이는 치매 환자 가족이라도 환자와 직접 동거하는 경우에 수면의 질이 더 낮으며, 이는 치매 환자와 동거하는 것이 그만큼 신체적·정신적·심리적 부담을 높이기 때문으로 해석할 수 있다.
치매 가족의 수면의 질 향상을 위해 이들에게 치매 증상의 이해와 대처를 위한 체계적인 교육과 상담을 실시하고, 지역사회의 다양한 자원(치매안심센터, 치매전문병원, 자조 그룹 등)과 치매 관리 전문 인력과의 지속적 연계를 강화해야 한다. 또한 주간·단기 보호시설의 이용 활성을 통한 가족구성원의 일정한 휴식 시간을 제공하며, 탄력 근무, 유급 휴가 등 치매 환자 가족에 대한 실질적인 사회적·경제적 지원을 강화함으로써 치매 환자 가족의 수면의 질과 건강을 개선할 필요가 있다. 한편 치매 환자의 가족구성원은 일반인에 비해 심혈관 질환의 발생 위험이 높다[20]. 치매 환자 가족구성원의 수면과 건강에 관한 연구들은 수면 장애와 심혈관 질환의 증가된 위험과의 관련성을 보고하였다[21,22]. 따라서 수면의 질이 낮은 치매 환자 가족구성원을 위한 사회적 지원을 강화하고 간병 의무로부터의 일정한 휴식 기간 제공을 통해 이들의 심혈관 질환을 예방하는 것이 필요하다.
본 연구는 다음의 제한점이 있다. 첫째, 지역사회건강조사는 단면 연구이므로 통계적 관련성의 결과를 인과관계로 해석하기는 어렵다. 둘째, 설문조사를 통해 가족 중 의사로부터 진단받은 치매 환자가 있는지 여부와 현재 함께 거주하는지 여부를 확인하였지만, 치매의 종류나 중증도까지는 확인할 수 없었다. 셋째, 치매 환자와 집에서 동거하는 가족구성원의 간병 역할 및 참여 정도, 외부 간병인의 가정방문 여부에 대한 자료가 없었다. 이러한 제한점에도 불구하고 본 연구는 타당도 높은 정교한 수면의 질 평가도구인 PSQI를 이용하여 치매 환자 가족과 가족 중 치매 환자가 없는 일반인의 수면의 질을 비교·평가한 연구라는 의의가 있다. 또한 우리나라 모든 시·군·구를 포함하는 대표성 있는 인구 집단을 대상으로 한 연구이기에 본 연구 결과를 우리나라 전체 인구집단으로 일반화할 수 있는 장점이 있다.
결론적으로 본 연구는 현재 치매 환자와의 동거 여부에 관계없이 치매 환자 가족은 일반인에 비해 수면의 질이 낮음을 확인하였다. 치매 환자의 간병은 신체적, 정신적, 경제적 부담이 상대적으로 높기 때문에, 간병으로 인한 부정적인 요소들을 경감시켜 치매 환자 가족의 건강과 웰빙을 향상시키는 것이 필요하다. 지역사회에서 치매 관리를 위해서는 치매 환자뿐만 아니라 치매 환자 가족의 신체적, 정신적 건강을 함께 관리하는 지역사회 통합적 체계 구축이 필요하다.
